Giải bài tập Toán 11 bài 4: Vi phân
Giải bài tập Toán 11 Giải tích: Vi phân
VnDoc xin giới thiệu tới bạn đọc tài liệu Giải bài tập Toán 11 bài 4: Vi phân, nội dung tài liệu bao gồm 2 bài tập trang 172 SGK kèm theo lời giải chi tiết sẽ là nguồn thông tin hữu ích để phục vụ các bạn học sinh có kết quả cao hơn trong học tập. Mời thầy cô cùng các bạn học sinh tham khảo.
Giải bài tập Toán 11 bài 3: Hàm số liên tục
Giải bài tập Toán 11 ôn tập chương 4: Giới hạn
Giải bài tập Toán 11 bài 1: Định nghĩa và ý nghĩa của đạo hàm
Giải bài tập Toán 11 Vi phân
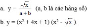
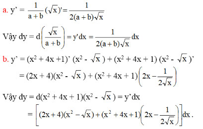
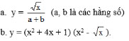
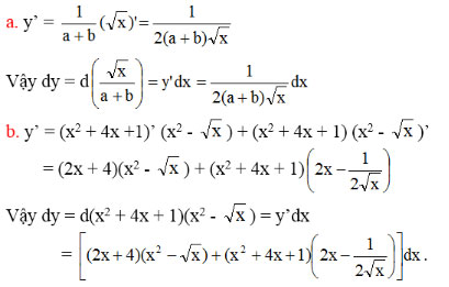
Bài 1 (trang 171 sgk Đại số 11): Tìm vi phân của các hàm số sau:
Lời giải:
Bài 2 (trang 171 SGK Đại số 11): Tìm dy, biết:
Lời giải:

------------------------------------
Trên đây VnDoc.com đã giới thiệu tới bạn đọc tài liệu: Giải bài tập Toán 11 bài 4: Vi phân. Để có kết quả cao hơn trong học tập, VnDoc xin giới thiệu tới các bạn học sinh tài liệu Hóa học lớp 10, Giải bài tập Hóa học lớp 11, Hóa học lớp 12, Thi thpt Quốc gia môn Văn, Thi thpt Quốc gia môn Lịch sử, Thi thpt Quốc gia môn Địa lý, Thi thpt Quốc gia môn Toán, đề thi học kì 1 lớp 11, đề thi học kì 2 lớp 11 mà VnDoc tổng hợp và đăng tải.


