Giải bài tập Toán 11 ôn tập chương 5: Đạo hàm
Giải bài tập Toán 11 Giải tích: Đạo hàm
Để giúp các bạn học sinh học tập hiệu quả hơn môn Toán, VnDoc xin giới thiệu tới bạn đọc tài liệu Giải bài tập Toán 11 ôn tập chương 5: Đạo hàm. Nội dung tài liệu bao gồm 13 bài tập trang176, 177 SGK kèm theo lời giải chi tiết sẽ giúp các bạn học sinh có kết quả cao hơn trong học tập.
Giải bài tập Toán 11 bài 1: Định nghĩa và ý nghĩa của đạo hàm
Giải bài tập Toán 11 bài 2: Quy tắc tính đạo hàm
Giải bài tập Toán 11 bài 3: Đạo hàm của hàm số lượng giác
Giải bài tập Toán 11 ôn tập chương 5
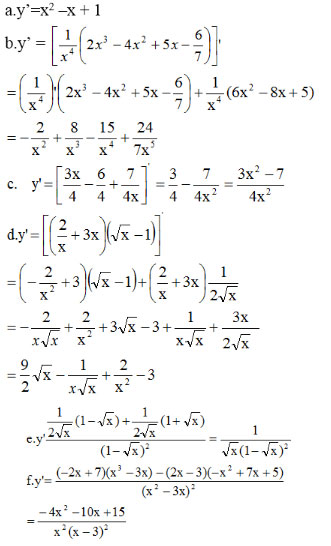
Bài 1 (trang 176 SGK Đại số 11): Tìm các đạo hàm sau:
Lời giải:

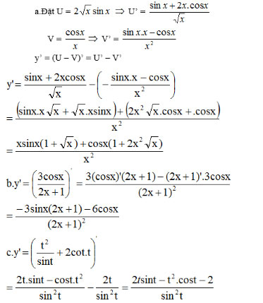
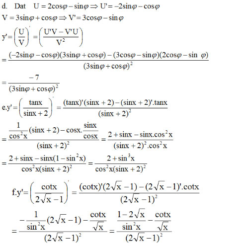
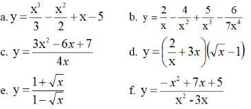
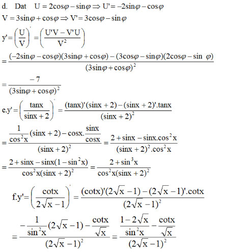
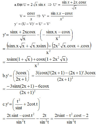
Bài 2 (trang 176 SGK Đại số 11): Tìm đạo hàm của các hàm số sau:

Lời giải:


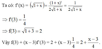
Bài 3 (trang 176 SGK Đại số 11):
![]()
Lời giải:

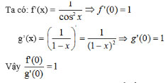
Bài 4 (trang 176 SGK Đại số 11): Cho hai hàm số f(x) = tan(x) và g(x) = ...
![]()
Lời giải:

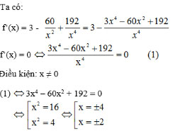
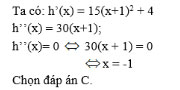
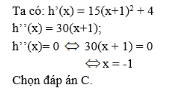
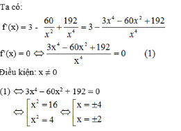
Bài 5 (trang 176 SGK Đại số 11): Giải phương trình f'(x) = 0, biết rằng:
![]()
Lời giải:

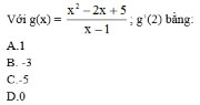
Bài 6 (trang 176 SGK Đại số 11): Cho f1(x) = ...
![]()
Lời giải:

Bài 7 (trang 176 SGK Đại số 11): Viết phương trình tiếp tuyến của:

Lời giải:


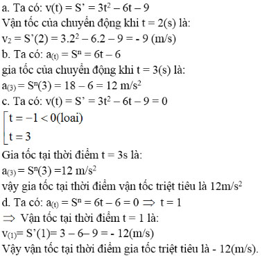
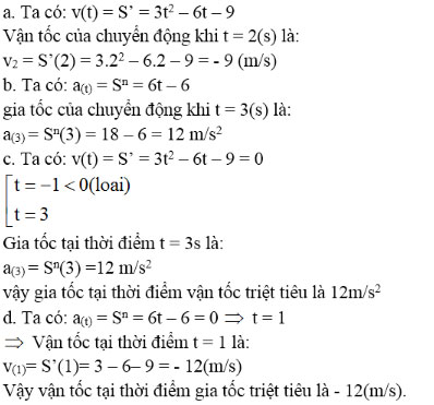
Bài 8 (trang 177 SGK Đại số 11): Cho chuyển động thẳng xác định bởi phương trình S = t3 – 3t2 – 9t, trong đó t được tính bằng giây (s) và S được tính bằng mét (m).
a. Tính vận tốc của chuyển động khi t = 2s.
b. Tính gia tốc của chuyển động khi t = 3s.
c. Tính gia tốc tại thời điểm vận tốc triệt tiêu.
d. Tính vận tốc tại thời điểm gia tốc triệt tiêu.
Lời giải:

Bài 9 (trang 177 SGK Đại số 11):
![]()
Viết phương trình tiếp tuyến với đồ thị của mỗi hàm số đã cho tại giao điểm của chúng. Tính góc giữa hai tiếp tuyến kể trên.
Lời giải:

Bài 10 (trang 177 SGK Đại số 11):

Lời giải:
Bài 11 (trang 177 SGK Đại số 11):

Lời giải:

Bài 12 (trang 177 SGK Đại số 11):

Lời giải:

Bài 13 (trang 177 SGK Đại số 11):

Lời giải:

------------------------------------
Trên đây VnDoc.com đã giới thiệu tới bạn đọc tài liệu: Giải bài tập Toán 11 ôn tập chương 5: Đạo hàm. Để có kết quả cao hơn trong học tập, VnDoc xin giới thiệu tới các bạn học sinh tài liệu Hóa học lớp 10, Giải bài tập Hóa học lớp 11, Hóa học lớp 12, Thi thpt Quốc gia môn Văn, Thi thpt Quốc gia môn Lịch sử, Thi thpt Quốc gia môn Địa lý, Thi thpt Quốc gia môn Toán, đề thi học kì 1 lớp 11, đề thi học kì 2 lớp 11 mà VnDoc tổng hợp và đăng tải.

