Công Thức Toán 11 đầy đủ
Công Thức Toán 11 - Phần Đại Số Giải Tích được VnDoc sưu tầm và đăng tải nhằm phục vụ cho các bạn học sinh áp dụng qua các kỳ thi đồng thời cũng là tài liệu được tổng hợp lại sách giáo khoa của Bộ giáo dục và đào tạo giúp các bạn ôn tập một cách hiệu quả hơn
Ngoài ra, VnDoc.com đã thành lập group chia sẻ tài liệu học tập THPT miễn phí trên Facebook: Tài liệu học tập lớp 11. Mời các bạn học sinh tham gia nhóm, để có thể nhận được những tài liệu mới nhất.
Công Thức Toán 11 đầy đủ - Phần Đại Số Giải Tích
I. Các phần cần học công thức toán 11
Trong chương trình lớp 11, các công thức toán 11 được tập trung ở các phần lượng giác, tổ hợp, dãy số, đạo hàm,... cụ thể như sau:
A. Công thức lượng giác
1. Độ và radian
2. Các hệ thức cơ bản
3. Các hệ quả cẩn nhớ
4. Các cung liên kết
5. Các công thức biến đổi
B. Hàm số lượng giác
1. Các hàm số lượng giác
2. Tập xác định của hàm số
3. Giá trị nhỏ nhất, giá trị lớn nhất của hàm số
4. Xét tính chẵn, lẻ của hàm số
C. Phương trình lượng giác
1. Phương trình lượng giác
2. Phương trình bậc hai đối với một hàm số lượng giác
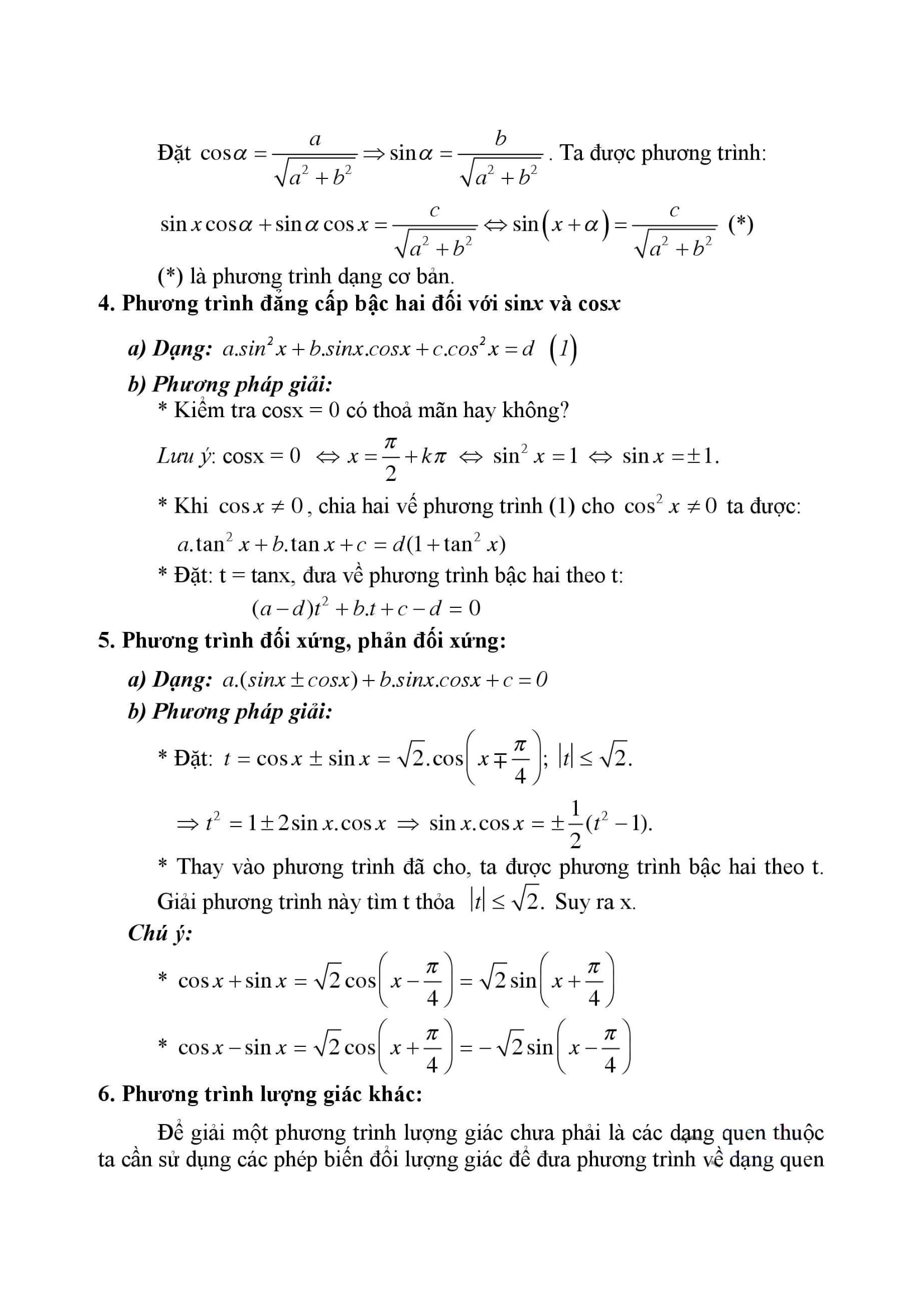
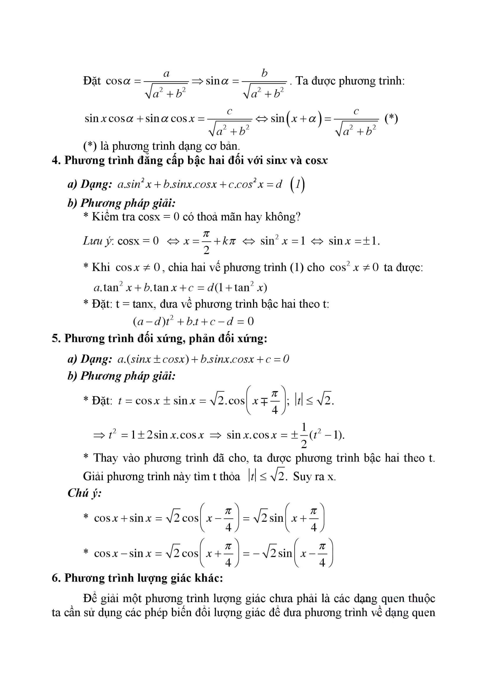
3. Phương trình bậc nhất đối với sinx, cosx
4. Phương trình đẳng cấp bậc hai đối với sinx, cosx
5. Phương trình đối xứng, phản đối xứng
6. Phương trình lượng giác khác
D. Đại số tổ hợp
1. Phép đếm
2. Hoán vị
3. Chỉnh hợp
4. Tổ hợp
E. Nhị thức Newton
1. Khai triển nhị thức Newton
2. Tam giác Pascal
3. Cách giải phương trình
F. Xác suất
G. Dãy số
1. Tính đơn điệu dãy số
2. Tính chặn của dãy số
H. Cấp số cộng
1. Định nghĩa
2. Tính chất
3. Tổng n số hạng đầu tiên cấp số cộng
I. Cấp số nhân
1. Định nghĩa
2. Tính chất
3. Tổng n số hạng đầu tiên của cấp số nhân
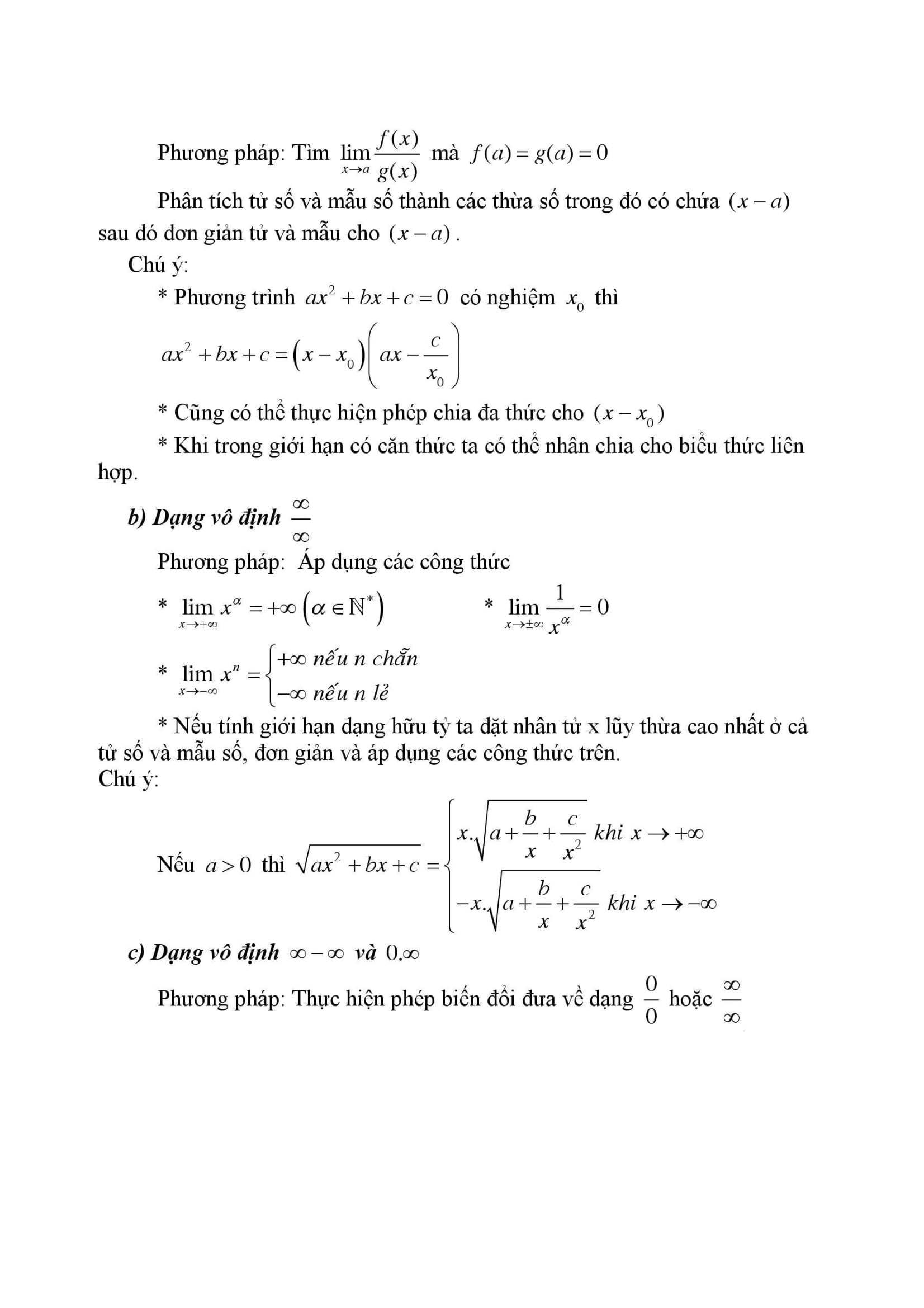
K. Giới hạn của dãy số
1. Định nghĩa
2. Tính chất
3. Một số giới hạn cơ bản cần nhớ
4. Cách tìm giới hạn
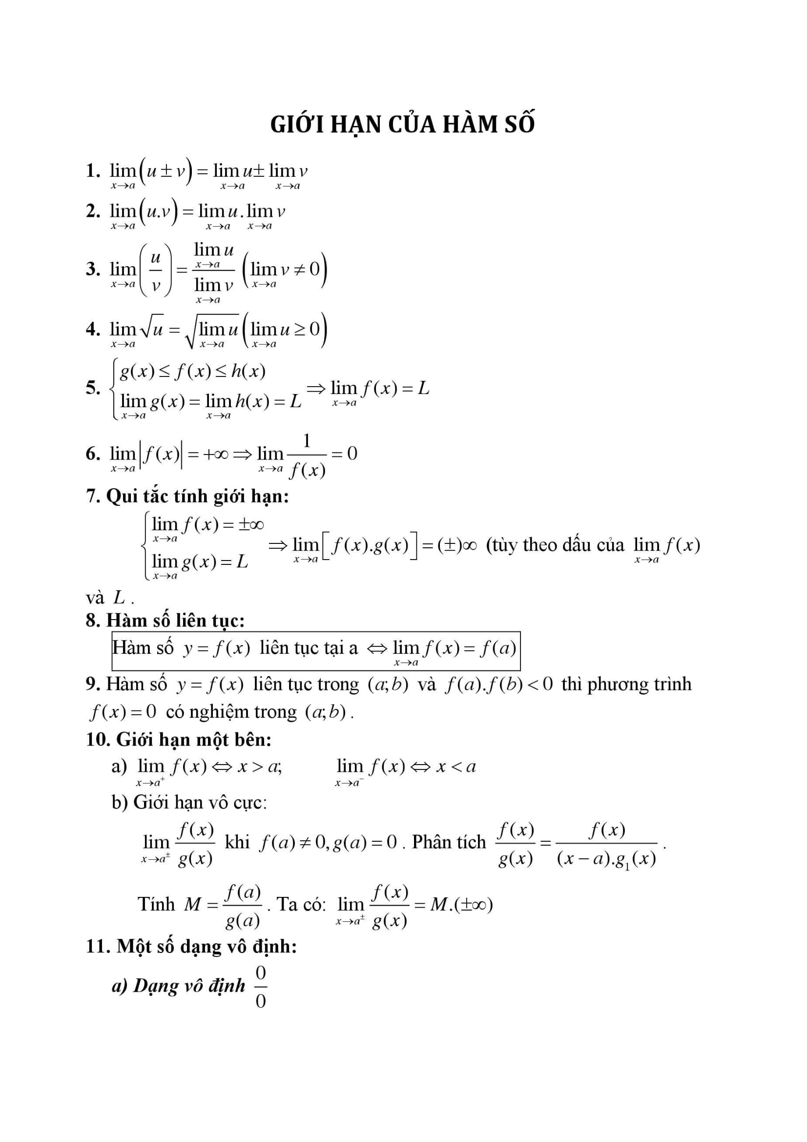
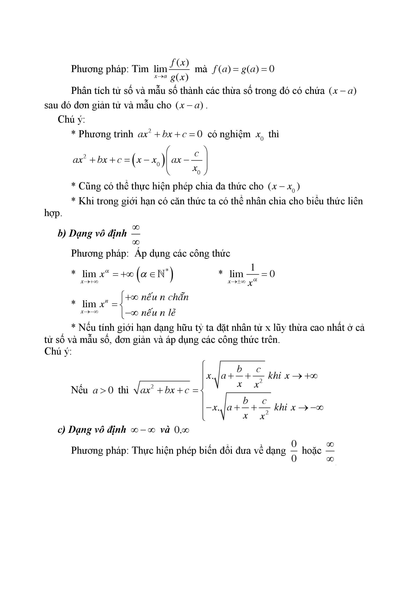
L. Giới hạn của hàm số
M. Hàm số liên tục
1. Xét tính liên tục của hàm số
2. Tìm m để hàm số liên tục tại điểm đã chỉ ra
3. Chứng minh phương trình vô nghiệm
N. Đạo hàm của hàm số
1. Bảng các đạo hàm
2. Các quy tắc tính đạo hàm
3. Đạo hàm cấp cao
4. Ý nghĩa hình học đạo hàm
O. Tiếp tuyến của đường cong
II. Các công thức toán 11 cần nhớ






















III. Một số bí quyết khi học công thức toán 11
Như các em đã thấy, số lượng công thức toán 11 chỉ riêng phần đại số và giải tích đã chiếm một lượng rất lớn, vì vậy chúng tôi sẽ gợi ý một số bí quyết để giúp các em học hữu hiệu nhất.
1) Nắm chắc các lý thuyết và định nghĩa
Ở bất cứ môn học nào nếu muốn học giỏi thì đều cần phải nắm chắc lý thuyết, định nghĩa cơ bản. Nếu không nắm chắc các kiến thức này thì các em sẽ không hiểu rõ được bản chất của vấn đề, khi giải bài toán nào đều sẽ lúng túng bởi không biết phải áp dụng phép tính hay định lý nào. Chính vì vậy các em cần lưu ý ghi nhớ thật kỹ các lý thuyết căn bản.
2) Lắng nghe, ghi chép những thông tin hữu ích
Mỗi một tiết học chỉ kéo dài 45 phút, các em thường chỉ ghi chép những gì thầy cô ghi trên bảng hoặc thầy cô lưu ý. Tuy nhiên, thực sự thường có đến 80% những gì thầy cô yêu cầu ghi chép có ở sách giáo khoa. Trong khi đó, những thứ thầy cô giảng để giúp các bạn hiểu bài hoặc giải thích quá trình tư duy để tìm được cách giải hay nhất thì các em thường chỉ ngồi nghe và rất dễ quên ngay sau đó. Vì vậy, hãy ghi chép lại bài giảng để có thể rút ra những gì hữu ích nhất cho bản thân nhé.
3) Tóm tắt đề bài trước khi giải
Có rất nhiều em học sinh chủ quan hoặc chưa có thói quen tóm tắt đề bài trước khi là, điều này đôi khi sẽ gây ra những sai lầm đáng tiếc. Việc tóm tắt lại bài toán sẽ có ý nghĩa rất quan trọng trong việc đưa ra những dữ liệu chính xác mà đề bài đặt ra, giúp các em khái quát được được đề bài và yêu cầu cần làm để xác định đúng hướng giải bài toán. Ngoài ra việc tóm tắt sẽ giúp các em xác định được tính logic cho bài toán tránh sai sót và lạc đề.
4) Làm thật nhiều bài tập
Nếu các em chỉ học lý thuyết thì các em khó có thể giải được các bài tập, đặc biệt là các bài nâng cao để dành những kết quả tốt hơn. Khi làm thật nhiều bài tập, các em sẽ tiếp cận với nhiều dạng toán khác nhau, nhiều cách tiếp cận vấn đề khác nhau, từ đó khi đi thi hoặc kiểm tra chúng ta sẽ không bị bỡ ngỡ trước những dạng toán lạ.
5) Học từ dễ đến khó
Khi làm quen những bài tập cơ bản sẽ tạo rất nhiều động lực để tiếp cận những bài khó hơn nữa. Giải được các bài toán các em sẽ tạo được niềm đam mê với môn toán và quên đi nỗi sợ hãi với môn học này.
6) Học toán từ những sai lầm
Không chỉ học toán mà còn học với tất cả môn khác, đều đầu tiên là tinh thần ham học và cẩn thận. Khi được thầy cô sửa chữa lỗi sai hãy ghi chép cẩn thận và xem lại để tránh mắc lại vào các lần tiếp theo. Sai là điều mà bất cứ ai đều gặp phải nhưng quan trọng là chúng ta sửa chữa để hoàn thiện và học tốt hơn.
Trên đây là toàn bộ công thức toán 11 - phần đại số và giải tích mà chúng tôi đã tổng hợp và soạn thảo lại. Mời các bạn học sinh tham khảo
.......................................................................
Ngoài Công Thức Toán 11 đầy đủ. Mời các bạn học sinh còn có thể tham khảo các đề thi học học kì 1 lớp 11, đề thi học học kì 2 lớp 11 các Sinh học lớp 11 môn Toán, Văn, Anh, Hóa, Lý, Địa, Sinh mà chúng tôi đã sưu tầm và chọn lọc. Với đề thi học kì lớp 11 này giúp các bạn rèn luyện thêm kỹ năng giải đề và làm bài tốt hơn. Chúc các bạn ôn thi tốt