Giải Lý 10 Bài 1: Động lượng và định luật bảo toàn động lượng CD
Giải Lý 10 Bài 1 CD
Giải Lý 10 Bài 1: Động lượng và định luật bảo toàn động lượng CD được VnDoc.com tổng hợp và gửi tới bạn đọc cùng tham khảo nhé.
I. Động lượng
Câu hỏi 1 trang 96 SGK Lý 10 CD
Hãy đề xuất phương án và thực hiện thí nghiệm để chứng tỏ tốc độ và khối lượng của vật khi va chạm càng lớn thì hậu quả do va chạm càng lớn.
Lời giải
- Dụng cụ:
+ Ba viên bi A, B, C (chọn bi B nặng hơn A và C)
+ Máng trượt (có thể dùng ống nhựa cắt dọc)
+ Một vài vật (hộp giấy, quyển sách) để tạo độ dốc cho máng trượt
+ Đặt viên bi C ngay dưới chân máng trượt

- Thực hiện thí nghiệm:
+ Trường hợp 1: Lần lượt thả hai viên bi A và B (bi B nặng hơn bi A) chuyển động trên máng trượt. Quan sát và đo quãng đường dịch chuyển của bi C sau va chạm với mỗi lần thả.
+ Trường hợp 2: Thay đổi độ dốc (nâng lên hoặc hạ xuống) mục đích để thay đổi vận tốc cho viên bi được thả, lần này làm thí nghiệm chỉ thả viên bi A, thả 2 - 3 lần và đo quãng đường viên bi C đi được, ghi lại kết quả đó.
- Kết quả:
+ Trong thí nghiệm trường hợp 1: khối lượng của 2 viên bi A và B khác nhau sẽ làm cho viên bi C lăn được những quãng đường khác nhau. Cụ thể viên bi B nặng hơn bi A nên khi va chạm viên bi B làm cho viên bi C lăn xa hơn so với viên bi A.
+ Trong thí nghiệm trường hợp 2: độ dốc thay đổi dẫn đến vận tốc viên bi A lúc và chạm với viên bi C thay đổi, viên bi C sẽ lăn được quãng đường dài ngắn khác nhau. Cụ thể độ dốc càng cao, vận tốc khi va chạm càng lớn làm viên bi C chuyển động quãng đường càng dài.
- Kết luận: chứng tỏ tốc độ và khối lượng của vật khi va chạm càng lớn thì hậu quả do va chạm càng lớn.
Câu hỏi 2 trang 96 SGK Lý 10 CD
Làm thế nào để một viên bi có tốc độ khác nhau khi tiếp xúc với đất nặn?
Lời giải
Để viên bi có tốc độ khác nhau khi tiếp xúc với đất nặn ta sẽ thả viên bi ở các độ cao khác nhau, vì:
+ Ở mỗi độ cao khác nhau, viên bi sẽ có thế năng khác nhau (chọn mốc tính thế năng tại vị trí đặt đất nặn).
+ Khi viên bi va chạm với đất nặn thì động năng sẽ khác nhau, dẫn đến vận tốc sẽ khác nhau (vì thế năng chuyển hóa thành động năng).
II. Định luật bảo toàn động lượng
Câu hỏi 3 trang 97 SGK Lý 10 CD
Hãy biểu diễn độ thay đổi động lượng của từng xe sau khi va chạm (hình 1.3)

Lời giải
Chọn chiều dương là chiều chuyển động của xe màu xanh trước va chạm.
- Xe màu xanh:
+ Động lượng của xe xanh trước va chạm là: p1 = mv
+ Động lượng của xe xanh sau va chạm là: p1’ = - mv (do sau va chạm chuyển động ngược chiều dương đã chọn)
+ Độ thay đổi động lượng của xe xanh:
- Xe màu đỏ:
+ Động lượng của xe đỏ trước va chạm là: p2 = -mv (do ban đầu xe chuyển động ngược chiều dương đã chọn)
+ Động lượng của xe đỏ sau va chạm là: p2’ = mv
+ Độ thay đổi động lượng của xe đỏ: Δp = p′2 − p2 = 2mv
Câu hỏi 4 trang 97 SGK Lý 10 CD
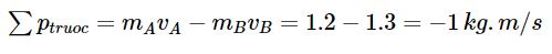
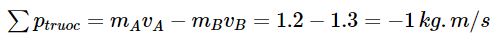
Hai quả cầu A và B, mỗi quả có khối lượng 1 kg, va chạm nhau như trong hình 1.5. Hãy tính tổng động lượng của hai quả cầu trước va chạm và tổng động lượng của chúng sau va chạm. So sánh kết quả và nêu kết luận.

Lời giải
Chọn chiều dương là chiều chuyển động của quả cầu A trước va chạm:
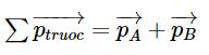
Tổng động lượng của hệ trước va chạm:

Chiếu xuống chiều dương đã chọn:
![]()
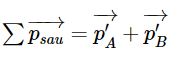
Tổng động lượng của hệ sau va chạm:

Chiếu xuống chiều dương đã chọn:

Nhận thấy tổng động lượng của hệ trước và sau va chạm bằng nhau.
Kết luận: Nếu không có ngoại lực nào tác dụng lên hệ thì tổng động lượng của hệ không đổi, tức là được bảo toàn.
Câu hỏi 5 trang 98 SGK Lý 10 CD
Dựa vào định luật bảo toàn động lượng, hãy thiết lập công thức tính tốc độ của hai xe trên giá đỡ nằm ngang, trong trường hợp một xe có tốc độ đã biết tới va chạm với xe còn lại đang đứng yên, sau va chạm hai xe dính vào nhau và cùng chuyển động.
Lời giải

Chọn chiều dương là chiều chuyển động của xe A
Gọi khối lượng của xe A và xe B lần lượt là m1 và m2
Vận tốc trước va chạm của xe A là v1, xe B đang đứng yên nên v2 = 0
Vận tốc sau va chạm của hệ 2 xe (do 2 xe dính vào nhau chuyển động cùng vận tốc) là v
Động lượng của hệ trước va chạm:
\(\vec{P_{truoc} } = \vec{P_{1} } + \vec{P_{2} } = \vec{P_{1} } = m_{1} \vec{v_{1} }\)
Động lượng của hệ sau va chạm:
\(\vec{P_{sau} } = \vec{P_{1}^{'} } + \vec{P_{2}^{'} } = m_{1} \vec{v} + m_{2} \vec{v} = (m_{1} + m_{2})\vec{v}\)
Theo định luật bảo toàn động lượng:
\(\vec{P_{truoc} } = \vec{P_{sau} }\)
Khi đó:
\(\vec{v} = \frac{m_{1}\vec{v_{1} } }{m_{1} + m_{2}}\)
Sau va chạm hệ 2 vật chuyển động cùng chiều dương đã chọn thì v =
\(\frac{m_{1} v_{1} }{m_{1} + m_{2} }\)
Câu hỏi 6 trang 98 SGK Lý 10 CD
Kết quả thí nghiệm đo được trong một lần thí nghiệm với hai xe có cùng khối lượng là 245 g, xe 1 có tốc độ 0,542 m/s va chạm với xe 2 đang đứng yên, sau va chạm đo được hai xe có cùng tốc độ là 0,269 m/s. Hãy tính động lượng của từng xe trước và sau va chạm, từ đó so sánh động lượng của hệ hai xe trước và sau va chạm. Định luật bảo toàn có được nghiệm đúng hay không?
Lời giải
Chọn chiều dương là chiều chuyển động của xe 1
+ Trước va chạm
Động lượng xe 1 là: p1 = m1v1 = 0,245.0,542 = 0,13kg.m/s
Động lượng xe 2 là: p2 = 0 (vì xe 2 ban đầu đứng yên)
Tổng động lượng trước va chạm: ptruoc = p1 + p2 = 0,13kg.m/s
+ Sau va chạm, hai xe gắn vào nhau và chuyển động cùng tốc độ:
Động lượng hệ: psau = (m1 + m2)v = (0,245 + 0,245).0,269 = 0,13kg.m/s
So sánh thấy tổng động lượng trước và sau va chạm bằng nhau, nên định luật bảo toàn động lượng vẫn đúng.
III. Vận dụng định luật bảo toàn động lượng
Câu hỏi 7 trang 98 SGK Lý 10 CD
Ngay trước khi nổ, quả pháo hoa có tốc độ bằng không, động lượng của nó bằng không. Ngay sau khi nổ, các mảnh pháo hoa bay ra theo mọi hướng, mỗi mảnh có động lượng khác không. Điều này có mâu thuẫn với định luật bảo toàn động lượng hay không?
Lời giải
Điều này không mâu thuẫn với định luật bảo toàn động lượng, vì cứ mỗi mảnh nhỏ bay về một phía luôn có mảnh khác tương ứng chuyển động theo hướng ngược lại nên tổng các vectơ động lượng vẫn bằng 0.
VnDoc.com vừa gửi tới bạn đọc bài viết Giải Lý 10 Bài 1: Động lượng và định luật bảo toàn động lượng CD. Hi vọng qua bài viết này bạn đọc có thêm tài liệu để học tập tốt hơn môn Vật lý 10 CD. Mời các bạn cùng tham khảo thêm tài liệu học tập môn Toán 10 CD...