Giải Lý 10 Bài 3: Thực hành tính sai số trong phép đo. Ghi kết quả đo KNTT
Giải Lý 10 KNTT Bài 3: Thực hành tính sai số trong phép đo. Ghi kết quả đo
Giải Lý 10 Bài 3: Thực hành tính sai số trong phép đo. Ghi kết quả đo KNTT vừa được VnDoc.com sưu tầm và xin gửi tới bạn đọc. Hi vọng qua bài viết này bạn đọc có thêm nhiều tài liệu để học tập tốt hơn môn Vật lý 10 Kết nối tri thức. Mời các bạn cùng tham khảo chi tiết bài viết dưới đây.
1. Giải Vật Lí 10 trang 17 SGK Vật lý 10 Kết nối tri thức
Khởi động trang 17 Vật Lí 10: Không một phép đo nào có thể cho ta giá trị đúng của đại lượng cần đo, mọi phép đo đều có sai số. Làm thế nào để xác định được các sai số này? Nguyên nhân gây ra các sai số là gì và cách khắc phục như thế nào?
Lời giải:
- Để xác định được các sai số này, chúng ta cần tính được các sai số hệ thống và sai số ngẫu nhiên, tính toán các sai số.
- Nguyên nhân gây ra sai số có thể do nguyên nhân khách quan (do dụng cụ, điều kiện thực hành, thời tiết, nhiệt độ, độ ẩm), nguyên nhân chủ quan (thao tác đo chưa chính xác) hoặc có thể do dụng cụ ban đầu đã có sai số (sai số hệ thống).
- Cách khắc phục: thao tác đúng cách, lựa chọn thiết bị phù hợp, tiến hành đo nhiều lần.
I. Phép đo trực tiếp và phép đo gián tiếp
Câu hỏi trang 17 Vật Lí 10: Em hãy lập phương án đo tốc độ chuyển động của chiếc xe ô tô đồ chơi chỉ dùng thước; đồng hồ bấm giây và trả lời các câu hỏi sau:
a) Để đo tốc độ chuyển động của chiếc xe cần đo những đại lượng nào?
b) Xác định tốc độ chuyển động của xe theo công thức nào?
c) Phép đo nào là phép đo trực tiếp? Tại sao?
d) Phép đo nào là phép đo gián tiếp? Tại sao?
Lời giải:
- Dụng cụ: ô tô đồ chơi, thước, đồng hồ bấm giây.
- Cách tiến hành:
+ Đánh dấu vạch xuất phát, cho ô tô bắt đầu chuyển động.
+ Dùng đồng hồ bấm giây để xác định thời gian từ lúc ô tô bắt đầu chuyển động đến khi ô tô dừng lại.
+ Dùng thước đo quãng đường từ vạch xuất phát đến điểm ô tô dừng lại.
a) Để đo tốc độ chuyển động của chiếc xe cần đo các đại lượng:
- Quãng đường (s).
- Thời gian đi hết quãng đường đó (t).
b) Xác định tốc độ chuyển động của chiếc xe bằng công thức: v = st.
c) Phép đo thời gian và quãng đường là phép đo trực tiếp vì chúng lần lượt được đo bằng dụng cụ đo là đồng hồ và thước. Kết quả của phép đo được đọc trực tiếp trên dụng cụ đo.
d) Phép đo tốc độ là phép đo gián tiếp vì nó được xác định thông qua công thức liên hệ với các đại lượng được đo trực tiếp là quãng đường và thời gian.
II. Sai số phép đo
1. Phân loại sai số
2. Cách xác định sai số phép đo
3. Cách xác định sai số phép đo gián tiếp
4. Cách ghi kết quả đo
2. Giải Vật Lí 10 trang 19 SGK Vật lý 10 Kết nối tri thức
Hoạt động trang 19 Vật Lí 10: Dùng một thước có ĐCNN là 1 mm và một đồng hồ đo thời gian có ĐCNN 0,01 s để đo 5 lần thời gian chuyển động của chiếc xe đồ chơi chạy bằng pin từ điểm A (vA = 0) đến điểm B (Hình 3.1). Ghi các giá trị vào Bảng 3.1 và trả lời các câu hỏi.

a) Nguyên nhân nào gây ra sự sai khác giữa các lần đo?
b) Tính sai số tuyệt đối của phép đo s, t và điền vào Bảng 3.1.
c) Viết kết quả đo:
s = ............. ; t = ................
d) Tính sai số tỉ đối:
δt=
\(\frac{\Delta t}t\).100%=...;δs=
\(\frac{\Delta s}s\).100%=...
δv=...;Δv=...
Lời giải:
Số liệu tham khảo
Bảng 3.1
|
n |
s (m) |
∆s (m) |
t (s) |
∆t (m) |
|
1 |
0,649 |
0,0024 |
3,49 |
0,024 |
|
2 |
0,651 |
0,0004 |
3,51 |
0,004 |
|
3 |
0,654 |
0,0026 |
3,54 |
0,026 |
|
4 |
0,653 |
0,0016 |
3,53 |
0,016 |
|
5 |
0,650 |
0,0014 |
3,50 |
0,014 |
|
Trung bình |
s¯ = 0,6514 |
Δs¯ = 0,00168 |
t¯ = 3,514 |
Δt¯ = 0,0168 |
a) Nguyên nhân gây ra sự sai khác giữa các lần đo là do:
- Sai số hệ thống do dụng cụ đo.
- Điều kiện làm thí nghiệm chưa được chuẩn.
- Thao tác khi đo chưa chính xác.
b) Phép đo s
- Giá trị trung bình của quãng đường:

- Sai số ngẫu nhiên tuyệt đối của từng lần đo:

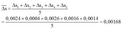
- Sai số ngẫu nhiên tuyệt đối trung bình của 5 lần đo:

- Sai số tuyệt đối của phép đo quãng đường là:
∆s = Δs¯+Δsdc = 0,00168 + 0,0012 = 0,00218 (m)
Phép đo t
- Giá trị trung bình của thời gian chuyển động

- Sai số ngẫu nhiên tuyệt đối của từng lần đo:

- Sai số ngẫu nhiên tuyệt đối trung bình của 5 lần đo:

- Sai số tuyệt đối của phép đo thời gian là:
∆t = Δt¯+Δtdc = 0,0168 +
\(\frac{0,01}2\) = 0,0218 (m)
c) Viết kết quả đo
- Phép đo s:
s = s¯ ± ∆s = 0,6514 ± 0,00218 (m)
- Phép đo t:
t = t¯ ± ∆t = 3,514 ± 0,0218 (m)

Em có thể 1 trang 19 Vật Lí 10: Giải thích được tại sao để đo một đại lượng chính xác người ta cần lặp lại phép đo nhiều lần và tính sai số.
Lời giải:
Để đo một đại lượng chính xác người ta cần lặp lại phép đo nhiều lần để làm giảm sai số ngẫu nhiên đến mức nhỏ nhất và tính sai số để xác định được độ tin cậy của phép đo.
Em có thể 2 trang 19 Vật Lí 10: Tính được sai số tuyệt đối, sai số tỉ đối của phép đo trực tiếp và phép đo gián tiếp.
Lời giải:
Ví dụ: kết quả đo thời gian tấm chắn sáng (rộng 10 mm) đi qua cổng quang điện được cho ở bảng 1.2.
Bảng 1.2
|
Lần đo |
1 |
2 |
3 |
|
Thời gian (s) |
0,101 |
0,098 |
0,102 |
+ Thời gian trung bình: t¯=
\(\frac{t_1+t_2+t_3}3\)=
\(\frac{0,101+0,098+0,102}3\)=0,100 s
+ Sai số tuyệt đối của các lần đo:

+ Sai số tuyệt đối trung bình của phép đo:
Δt¯=
\(\frac{\Delta t_1+\Delta t_2+\Delta t_3}3\)=1,667.10−3s
Trên đây VnDoc.com vừa gửi tới bạn đọc bài viết Giải Lý 10 Bài 3: Thực hành tính sai số trong phép đo. Ghi kết quả đo KNTT. Bài viết đã hướng dẫn bạn đọc trả lời các câu hỏi trong SGK Lý 10 KNTT. Mời các bạn cùng tham khảo thêm tài liệu học tập các môn Toán 10 KNTT, Hóa học 10 KNTT...