Giải VBT Vật lý lớp 6 - Bài 11: Khối lượng riêng - Trọng lượng riêng
Giải VBT Vật lý lớp 6 - Bài 11: Khối lượng riêng - Trọng lượng riêng là tài liệu tham khảo môn Vật lý 6 hay dành cho các em học sinh, giúp các em ôn tập và củng cố kiến thức đã học trên lớp, từ đó hoàn thành tốt mục tiêu học tập của mình.
Giải VBT Vật lý lớp 6: Khối lượng riêng - Trọng lượng riêng
A. Học theo SGK
I - KHỐI LƯỢNG RIÊNG. TÍNH KHỐI LƯỢNG CỦA CÁC VẬT THEO KHỐI LƯỢNG RIÊNG.
1. Khối lượng riêng.
Câu C1 trang 41 VBT Vật Lí 6: Chọn phương án xác định khối lượng của chiếc cột sắt ở Ấn độ:
Lời giải:
A. Phương án A: không đồng ý.
Lí do: khi cưa chiếc cột sắt thành nhiều đoạn nhỏ rồi đem cân từng đoạn một thì sẽ rất lâu đồng thời phá hủy mất cột sắt.
B. Phương án B: đồng ý.
Nếu đồng ý, ta dựa vào các số liệu sau để tính khối lượng của chiếc cột sắt:
- Thể tích của chiếc cột sắt là: V = 0,9 m3
- Khối lượng của 1m3 sắt nguyên chất là: 7,8.1000 = 7800 kg
Vậy khối lượng của chiếc cột sắt là: m = 0,9.7800 = 7020 kg.
Đáp số: 7020 kg.
2. Tính khối lượng của một vật theo khối lượng riêng.
Câu C2 trang 41 VBT Vật Lí 6: Khối lượng của một khối đá có thể tích 0,5 m3 là:
Lời giải:
m = D. V = 2600.0,5 = 1300kg.
Câu C3 trang 41 VBT Vật Lí 6:
Lời giải:
m = D . V
II – TRỌNG LƯỢNG RIÊNG
Câu C4 trang 41 VBT Vật Lí 6:
Lời giải:

III – XÁC ĐỊNH TRỌNG LƯỢNG RIÊNG CỦA MỘT CHẤT
Câu C5 trang 42 VBT Vật Lí 6: Cách xác định trọng lượng riêng của một chất làm quả cân như sau:
Lời giải:
Bước 1: Thả quả cân vào bình chia độ có chứa sẵn V1 = 100cm3 nước. Giả sử nước dâng lên đến mực có vạch chia V2 = 120 cm3.
Khi đó thể tích của quả cân là: V = V2 – V1 = 120 – 100 = 20cm3 = 0,00002m3.
Bước 2: Treo quả cân vào lực kế ta xác định trọng lượng của quả cân là: P = 2N.
(do P = 10.m = 10.0,2 = 2N)
Bước 3: Tính trọng lượng riêng của chất làm nên quả cân bằng công thức:

Trọng lượng riêng của chất làm quả cân là: 100000 (N/m3).
IV – VẬN DỤNG
Câu C6 trang 42 VBT Vật Lí 6:
Lời giải:
Khối lượng của chiếc dầm sắt là: m = D.V = 7800.0,04 = 312(kg).
Trọng lượng của chiếc dầm sắt là: P = 10.m = 10.312 = 3120 (N).
Câu C7 trang 42 VBT Vật Lí 6:
Lời giải:
Khối lượng riêng của nước muối là:

Ghi nhớ:
- Khối lượng riêng của một chất được xác định bằng khối lượng của một đơn vị thể tích (1m3) chất đó: D = m/V.
- Đơn vị khối lượng riêng là kilôgam trên mét khối (kg/m3).
- Trọng lượng riêng của một chất được xác định bằng trọng lượng của một đơn vị thể tích (1m3) chất đó: d = P/V.
- Công thức tính trọng lượng riêng theo khối lượng riêng: d = 10D.
B. Giải bài tập
1. Bài tập trong SBT
Bài 11.1 trang 42 VBT Vật Lí 6: Muốn đo khối lượng riêng của các hòn bi thủy tinh, ta cần dùng những dụng cụ gì?
A. Chỉ cần dùng một cái cân.
B. Chỉ cần dùng một cái lực kế.
C. Chỉ cần dùng một cái bình chia độ.
D. Cần dùng một cái cân và một cái bình chia độ.
Lời giải:
Chọn D.
Khối lượng riêng của hòn bi được xác định qua công thức: D = m/V
Do đó: Muốn đo khối lượng riêng D của các hòn bi thủy tinh ta cần dùng một cái cân và một bình chia độ. Dùng cân để đo khối lượng m hòn bi, bình chia độ để đo thể tích V của hòn bi đó.
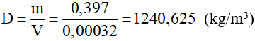
Bài 11.2 trang 42 VBT Vật Lí 6: Một hộp sữa Ông Thọ có ghi 397g. Biết dung tích của hộp sữa là 320 cm3. Hãy tính khối lượng riêng của sữa trong hộp theo đơn vị kg/m3.
Lời giải:
Ta có: m = 397g = 0,397 kg; V = 320cm3 = 0,00032m3.
Khối lượng riêng của sữa trong hộp là:

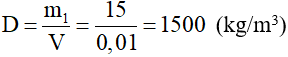
Bài 11.3 trang 43 VBT Vật Lí 6: Biết 10 lít cát có khối lượng 15kg.
a. Tính thể tích của 1 tấn cát.
b. Tính trọng lượng của một đống cát 3m3.
Lời giải:
Tóm tắt: Thể tích của 10 lít cát: V = 10l = 0,01m3; khối lượng m1 = 15kg.
a. m2 = 1 tấn = 1000kg; V2 = ?
b. Đống cát có thể tích: V3 = 3m3; Trọng lượng P3 = ?
Khối lượng riêng của cát:

a) Thể tích 1 tấn cát là:

b) Trọng lượng 1 đống cát 3m3 là:
P3 = d.V= 10.D.V = 10.1500.3 = 45000N.
Bài 11.5 trang 43 VBT Vật Lí 6: Một hòn gạch “hai lỗ” có khối lượng 1,6kg. Hòn gạch có thể tích 1200cm3. Mỗi lỗ có thể tích 192cm3. Tính khối lượng riêng và trọng lượng riêng của gạch.
Lời giải:
D = 1960,8 kg/m3; d = 19608 N/m3.
Thể tích thực của hòn gạch là:
Vt = 1200 – (192 x 2) = 816 cm3 = 0,000816 m3.
Khối lượng riêng của gạch là:

Trọng lượng riêng của gạch là: d = 10 x D = 19607,8 N/m3.
2. Bài tập tương tự
Bài 11a trang 43 Vở bài tập Vật Lí 6: Muốn đo trọng lượng riêng của một khối hợp kim đặc, có kích thước bằng một cái nút chai, ta cần những dụng cụ gì?
A. Chỉ cần một cái cân.
B. Chỉ cần một cái lực kế.
C. Cần một cái cân và một bình chia độ.
D. Cần một cái lực kế, một bình chia độ và một sợi chỉ.
Lời giải:
Chọn D.
Trọng lượng riêng của khối hợp kim đặc được xác định qua công thức: d = P/V
Do đó: Muốn đo trọng lượng riêng d của khối hợp kim ta cần dùng một lực kế, một bình chia độ và một sợi chỉ để treo vật vào lực kế. Dùng lực kế để đo trọng lượng P, bình chia độ để đo thể tích V của khối hợp kim đó.
Bài 11b trang 43 Vở bài tập Vật Lí 6: Một ca dầu ăn, thể tích 500cm3, có khối lượng 425 g. Tính khối lượng riêng của dầu ăn.
Lời giải:
Khối lượng riêng của dầu ăn là: D = m:V = 425:500 = 0,85g/cm3 = 850 kg/m3.
Bài 11c trang 43 Vở bài tập Vật Lí 6: Một ống bơ sữa bò có dung tích 320cm3. Gạo đổ ngang miệng ống bơ có khối lượng 250 g. Tính thể tích của phần không khí giữa các hạt gạo trong ống bơ.
Lời giải:
Khối lượng riêng của gạo là: 1200kg/m3.
Thể tích của các hạt gạo trong ống bơ là:

Thể tích của phần không khí trong ống bơ là: V0 = 320 - 208,3 = 111,7 cm3.
Trong chương trình Vật lý lớp 6, các em sẽ được làm quen với khái niệm khối lượng riêng, trọng lượng riêng. Vậy các em có biết khối lượng riêng, trọng lượng riêng được tính như thế nào? Vận dụng các công thức để làm bài tập như thế nào? Để hiểu rõ hơn về điều đó, VnDoc.com sẽ hương dẫn các em giải các bài tập trong vở bài tập Vật lý lớp 6 nhằm củng cố kiến thức đã học trên lớp hiệu quả hơn.
Các tài liệu liên quan:
- Giải VBT Vật lý lớp 6 - Bài 9: Lực đàn hồi
- Giải VBT Vật lý lớp 6 - Bài 10: Lực kế - Phép đo lực - Trọng lượng và khối lượng
- Giải VBT Vật lý lớp 6 - Bài 12: Xác định khối lượng riêng của sỏi
Trên đây, VnDoc.com đã giới thiệu tới các bạn tài liệu Giải VBT Vật lý lớp 6 - Bài 11: Khối lượng riêng - Trọng lượng riêng. Để học tốt môn Vật lý 6, mời các bạn tham khảo thêm Giải bài tập SGK Vật lý 6, Giải bài tập SBT Vật lý 6 và các đề thi học kì 1 lớp 6 môn Vật lý khác.