Phân loại bài tập lượng tử ánh sáng
Phân loại bài tập lượng tử ánh sáng là tài liệu hữu ích dành cho cả giáo viên và học sinh. Tài liệu này bao gồm lý thuyết và bài tập chương lượng tử ánh sáng được phân theo từng dạng, giúp các bạn tự luyện tập dễ dàng, nhằm bồi dưỡng học sinh giỏi, ôn thi THPT Quốc gia môn vật lý, ôn thi đại học khối A.
Lý thuyết và Bài tập chương lượng tử ánh sáng
Dạng 1: Tính các đại lượng cơ bản (công thoát A, v0max, P, ibh, Uh, H…)
I. Tóm tắt công thức:

→ e.Uh = ε - A = hf – A
Chú ý:
- 1 eV = 1,6.10-19 J
- Uh = - UAK
II. Bài tập áp dụng:
1. Tính năng lượng của các photon ứng với các ánh sáng có bước sóng 0,76 μm và 400 nm.
2. Giới hạn quang điện của Vonfam là 0,275 μm.
a. Hỏi khi chiếu ánh sáng trắng vào vonfam thì có hiện tượng quang điện xẩy ra không? Giải thích?
b. Tính động năng ban đầu cực đại của electron quang điện khi bức xạ chiếu vào có bước sóng 0,18 μm?
c. Tính vận tốc ban đầu cực đại của các electron quang điện?
3. Biết công thoát của electron ra khỏi bề mặt của nhôm và kali lần lượt là 3,45 eV và 2,25 eV. Chiếu chùm sáng có tần số 7.108 MHz lần lượt vào hai bản kim loại nhôm và kali.
a. Hiện tượng quang điện xẩy ra với bảng kim loại nào?
b. Tính vận tốc ban đầu cực đại của quang electron nếu có hiện tượng quang điện?
4. Chiếu bức xạ = 0,2 μm vào một tấm kim loại. Các electron bắn ra có động năng cực đại bằng 2,5 eV. Hỏi khi chiếu vào tấm kim loại đó lần lượt 2 bức xạ 1 = 0,6 μm và 2 = 0,3 μm thì có hiện tượng quang điện xẩy ra với bức xạ nào? Nếu có, hãy tính vận tốc ban đầu cực đại của các electron quang điện đó.
5. Cho biết giới hạn quang điện của Xesi là 6600 A0.
a. Tính công thoát của electron ra khỏi bề mặt Xesi.
b. Một tế bào quang điện có catot làm bằng xesi, chiếu ánh sáng có bước sóng λ = 0,5 μm vào catot. Tính hiệu điện thế giữa anot và catot để cường độ dòng quang điện bằng không.
6. Cho biết công thoát của đồng là 4,47 eV. Chiếu bức xạ λ = 0,14 μm vào một quả cầu bằng đồng đặt xa các vật khác thì quả cầu tích điện đến điện thế cực đại là bao nhiêu?
7. Chiếu một bức xạ điện từ có bước sóng λ = 0,405 μm vào bề mặt catot của một tế bào quang điện tạo ra một dòng điện có cường độ bão hòa. Người ta có thể làm triệt tiêu dòng quang điện này bằng một hiệu điện thế hãm Uh = 1,26 V.
a. Tìm vận tốc ban đầu cực đại của quang electron.
b. Tìm công thoát của electron thoát ra khỏi bề mặt kim loại dùng làm catot.
c. Cho biết cường độ bão hòa là 5 mA, tính số electron quang điện thoát ra trong 1 s.
d. Cho công suất chiếu sáng lên catot là 1,5 W. Tính hiệu suất lượng tử của tế bào quang điện.
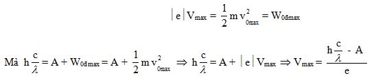
Dạng 2: Sự tích điện của quả cầu khi được chiếu sáng (điện thế cực đại Vmax)
Tóm tắt công thức:
Khi các photon bức quang electron ra khỏi quả cầu thì:
+ quả cầu tích điện dương tăng dần làm xuất hiện điện trường
cản trở chuyển động của quang electron.
+ Điện tích của quả cầu tiếp tục tăng → điện trường
tiếp tục tăng đến một lúc nào đó điện trường đủ lớn buộc electron quay trở lại quả cầu → quả cầu tích điện thế cực đại Vmax.
Bài tập áp dụng:
1. Người ta chiếu bức xạ λ= 0,14 mm vào quả cầu bằng đồng đặt cô lặp với các vật khác thì quả cầu sẽ tích được điện thế cực đại là bao nhiêu nếu biết công thoát đối với đồng là 4,47 eV.
2. Catot của một tế bào quang điện làm bằng kim loại có công thoát A = 7,23.10-19J.
3. Tìm giới hạn quang điện của kim loại đó.
4. Một tấm kim loại cô lặp đó được chiếu bằng hai bức xạ đồng thời có tần số và bước sóng lần lượt là f1=1,5.1015Hz và 0,18 mm. Tìm điện thế cực đại trên tấm kim loại đó.
5. Khi chiếu bức xạ có tần số f1trên vào tế bào quang điện nói trên để không có 1 electron nào bay về anot thì hiệu điện thế giữa anot và catot phải như thế nào?
Tài liệu vẫn còn dài.........
Mời các bạn tải về để xem toàn bộ tài liệu Phân loại bài tập lượng tử ánh sáng. Mời các bạn cùng tham khảo thêm các môn Ngữ văn 12, Tiếng Anh 12, đề thi học kì 1 lớp 12, đề thi học kì 2 lớp 12... được cập nhật liên tục trên VnDoc.com.
Mời bạn đọc cùng tham gia nhóm Tài liệu học tập lớp 12 để có thêm tài liệu học tập nhé