Trắc nghiệm Vật lý 10 chương 2: Ba định luật Niu - Tơn
Trắc nghiệm Vật lý 10 chương 2
Để giúp các bạn học sinh lớp 10 học tập hiệu quả hơn môn Vật lý, VnDoc.com đã tổng hợp bộ câu hỏi trắc nghiệm kèm theo đáp án và lời giải bài tập Vật lý 10 một cách chi tiết chắc chắn các bạn học sinh sẽ có kết quả cao hơn trong học tập. Mời các bạn học sinh và thầy cô tham khảo.
Trắc nghiệm Vật lý 10 chương 1: Chuyển động tròn đều
Trắc nghiệm Vật lý 10 chương 1: Tính tương đối của chuyển động - Công thức cộng vận tốc
Trắc nghiệm Vật lý 10: Ôn tập cuối chương 1
Trắc nghiệm Vật lý 10 chương 2: Tổng hợp và phân tích lực - Điều kiện cân bằng của chất điểm
Trắc nghiệm Vật lý 10 chương 2: Lực hấp dẫn - Định luật vạn vật hấp dẫn
Trắc nghiệm Vật lý 10 chương 2: Lực đàn hồi của lò xo - Định luật húc
Trắc nghiệm Vật lý 10 chương 2: Ba định luật Niu - Tơn
Câu 1: Theo định luật I Niu-tơn thì?
A. Với mỗi lực tác dụng luôn có một phản lực trực đối với nó.
B. Một vật sẽ giữ nguyên trạng thái đứng yên hoặc chuyển động thẳng đều nếu nó không chịu tác dụng của bất kì lực nào khác.
C. Một vật không thể chuyển động được nếu hợp lực tác dụng lên nó bằng 0.
D. Mọi vật đang chuyển động đều có xu hướng dừng lại do quán tính.
Câu 2: Theo định luật II Niu-tơn thì lực và phản lực?
A. Là cặp lực cân bằng.
B. Là cặp lực có cùng điểm đặt.
C. Là cặp lực cùng phương, cùng chiều và cùng độ lớn.
D. Là cặp lực xuất hiện và mất đi đồng thời.
Câu 3: Vật nào sau đây chuyển động theo quán tính?
A. Vật chuyển động tròn đều.
B. Vật chuyển động trên quỹ đạo thẳng.
C. Vật chuyển động thẳng đều.
D. Vật chuyển động rơi tự do.
Câu 4: Khi nói về một vật chịu tác dụng của lực, phát biểu nào sau đây đúng?
A. Khi không có lực tác dụng, vật không thể chuyển động.
B. Khi ngừng tác dụng lực lên vật, vật này sẽ dừng lại.
C. Gia tốc của vật luôn cùng chiều với chiều của lực tác dụng.
D. Khi có tác dụng lực lên vật, vận tốc của vật tăng.
Câu 5: Một lực có độ lớn 4 N tác dụng lên vật có khối lượng 0,8 kg đang đứng yên. Bỏ qua ma sát và các lực cản. Gia tốc của vật bằng?
A. 32 m/s2.
B. 0,005 m/s2.
C. 3,2 m/s2.
D. 5 m/s2.
Câu 6: Một quả bóng có khối lượng 500 g đang nằm yên trên mặt đất thì bị một cầu thủ đá bằng một lực 250 N. Bỏ qua mọi ma sát. Gia tốc mà quả bóng thu được là?
A. 2 m/s2.
B. 0,002 m/s2.
C. 0,5 m/s2.
D. 500 m/s2.
Câu 7: Lần lượt tác dụng có độ lớn F1 và F2 lên một vật khối lượng m, vật thu được gia tốc có độ lớn lần lượt là a1 và a2. Biết 3F1 = 2F2. Bỏ qua mọi ma sát. Tỉ số a2/a1 là?
A. 3/2.
B. 2/3.
C. 3.
D. 1/3.
Câu 8: Tác dụng vào vật có khối lượng 5kg, đang đứng yên, một lực theo phương ngang thì vật này chuyển động nhanh dần đều với gia tốc 1 m/s2. Độ lớn của lực này là?
A. 3 N.
B. 4 N.
C. 5 N.
D. 6 N.
Câu 9: Một lực có độ lớn 2 N tác dụng vào một vật có khối lượng 1 kg lúc đầu đứng yên. Quãng đường mà vật đi được trong khoảng thời gian 2s là?
A. 2 m.
B. 0,5 m.
C. 4 m.
D. 1 m.
Câu 10: Một quả bóng khối lượng 200 g bay với vận tốc 90 km/h đến đập vuông góc vào tường rồi bật trở lại theo phương cũ với vận tốc 54 km/h. Thời gian va chạm giữa bóng và tường là 0,05s. Độ lớn lực của tường tác dụng lên quả bóng là?
A. 120 N.
B. 210 N.
C. 200 N.
D. 160 N.
Câu 11: Dưới tác dụng của một lực 20 N thì một vật chuyển động với gia tốc 0,4 m/s2. Nếu tác dụng vào vật này một lực 50 N thì vật này chuyển động với gia tốc bằng?
A. 1 m/s2.
B. 0,5 m/s2.
C. 2 m/s2.
D. 4 m/s2.
Câu 12: Một vật khối lượng 5 kg được ném thẳng đứng hướng xuống với vận tốc ban đầu 2 m/s từ độ cao 30 m. Vật này rơi chạm đất sau 3 s sau khi ném. Cho biết lực cản không khí tác dụng vào vật không đổi trong quá trình chuyển động. Lấy g = 10 m/s2. Lực cản của không khí tác dụng vào vật có độ lớn bằng?
A. 23,35 N.
B. 20 N.
C. 73,34 N.
D. 62,5 N.
Câu 13: Một viên bi A có khối lượng 300 g đang chuyển động với vận tốc 3 m/s thì va chạm vào viên bi B có khối lượng 600 g đang đứng yên trên mặt bàn nhẵn, nằm ngang. Biết sau thời gian va cham 0,2 s, bi B chuyển động với vận tốc 0,5 m/s cùng chiều chuyển động ban đầu của bi A. Bỏ qua mọi ma sát, tốc đọ chuyển động của bi A ngay sau va chạm là?
A. 1 m/s.
B. 3 m/s.
C. 4 m/s.
D. 2 m/s.
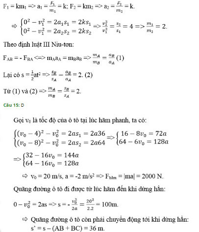
Câu 14: Hai xe A và B cùng đặt trên mặt phẳng nằm ngang, đầu xe A có gắn mộ lò xo nhẹ. Đặt hai xe sát nhau để lò xo bị nén rồi buông nhẹ để hai xe chuyển động ngược chiều nhau. Tính từ lúc thả tay, xe A và B đi được quãng đường lần lượt là 1 m và 2 m trong cùng một khoảng thời gian. Biết lực cản của môi trường tỉ lệ với khối lượng của xe. Tỉ số khối lương của xe A và xe B là?
A. 2.
B. 0,5.
C. 4.
D. 0,25.
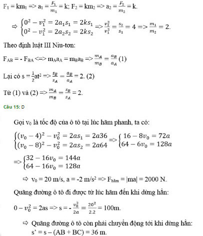
Câu 15: Một ô tô có khối lượng 1 tấn đang chuyển động thì chịu tác dụng của lực hãm F và chuyển động thẳng biến đổi đều. Kể từ lúc hãm, ô tô đi được đoạn đường AB = 36 m và tốc độ của ô tô giảm đi 14,4 km/h. Sau khi tiếp tục đi thêm đoạn đường BC = 28 m, tốc độ của ô tô lịa giảm thêm 4 m/s. Độ lớn lực hãm và quãng đường ô tô chuyển động từ C đến khi dừng hẳn lần lượt là?
A. 800 N và 64 m.
B. 1000 N và 18 m.
C. 1500 N và 100 m.
D. 2000 N và 36 m.
Câu 16: Một xe máy đang chuyển động với tốc độ 36 km/h thì hãm phanh, xe máy chuyển động thẳng chậm dần đều và dừng lại sau khi đi được 25 m. Thời gian để xe máy này đi hết đoạn đường 4 m cuối cùng trước khi dừng hẳn là?
A. 0,5 s.
B. 4 s.
C. 1,0 s.
D. 2 s.
Hướng dẫn giải và đáp án trắc nghiệm Vật lý 10
| Câu | 1 | 2 | 3 | 4 | 5 | 6 | 7 | 8 | 9 | 10 |
| Đáp án | B | D | C | C | D | D | A | C | C | D |
| Câu | 11 | 12 | 13 | 14 | 15 | 16 | ||||
| Đáp án | A | A | D | A | D | D |



