Trắc nghiệm Vật lý 10 chương 2: Lực hấp dẫn - Định luật vạn vật hấp dẫn
Trắc nghiệm Vật lý 10 chương 2
VnDoc.com xin giới thiệu tới bạn đọc tài liệu: Trắc nghiệm Vật lý 10 chương 2: Lực hấp dẫn - Định luật vạn vật hấp dẫn, với bộ câu hỏi trắc nghiệm kèm theo đáp án và lời giải chi tiết sẽ giúp các bạn học sinh rèn luyện giải bài tập Vật lý 10 một cách hiệu quả. Mời các bạn học sinh và thầy cô tham khảo.
Trắc nghiệm Vật lý 10 chương 1: Chuyển động tròn đều
Trắc nghiệm Vật lý 10 chương 1: Tính tương đối của chuyển động - Công thức cộng vận tốc
Trắc nghiệm Vật lý 10: Ôn tập cuối chương 1
Trắc nghiệm Vật lý 10 chương 2: Tổng hợp và phân tích lực - Điều kiện cân bằng của chất điểm
Trắc nghiệm Vật lý 10 chương 2: Lực hấp dẫn - Định luật vạn vật hấp dẫn
Câu 1: Khi nói về lực hấp dẫn giữa hai chất điểm, phát biểu nào sau đây sai?
A. Lực hấp dẫn có phương trùng với đường thẳng nối hai chất điểm.
B. Lực hấp dẫn có điểm đặt tại mỗi chất điểm.
C. Lực hấp dẫn của hai chất điểm là cặp lực trực đối.
D. Lực hấp dẫn của hai chất điểm là cặp lực cân bằng.
Câu 2: Một vài có khối lượng m đặ ở nơi cso gia tốc trọng trường g. Phát biểu nào sau đây sai?
A. Trọng lực có độ lớn được xác định bởi biểu thức P = mg.
B. Điểm đặt của trọng lực là trọng tâm của vật.
C. Trọng lực tỉ lệ nghịch với khối lượng của vật.
D. Trọng lực là lực hút của Trái Đất tác dụng lên vật.
Câu 3: Một vật có khối lượng m, ở độ cao h so với mặt đất. Gọi M là khối lượng Trái Đất, G là hằng số hấp dẫn và R là bán kính Trái Đất. Gia tốc rơi tự do tại vị trí đặt vật có biểu thức là?

Câu 4: Một viên đá đang nằm yên trên mặt đất, lực hấp dẫn do Trái Đất tác dụng vào hòn đá có giá trị?
A. Lớn hơn trọng lượng của hòn đá.
B. Nhỏ hơn trọng lượng của hòn đá.
C. Bằng trọng lượng của hòn đá
D. Bằng 0.
Câu 5: Hai quả cầu đồng chất có khối lượng 20 kg, bán kính 10 cm, khoảng cách giữa hia tâm của chúng là 50 cm. Biết rằng số hấp dẫn là G =
Độ lớn lực tương tác hấp dẫn giữa chúng là
A. 1,0672.10-8 N.
B. 1,0672.10-6 N.
C. 1,0672.10-7 N.
D. 1,0672.10-5 N.
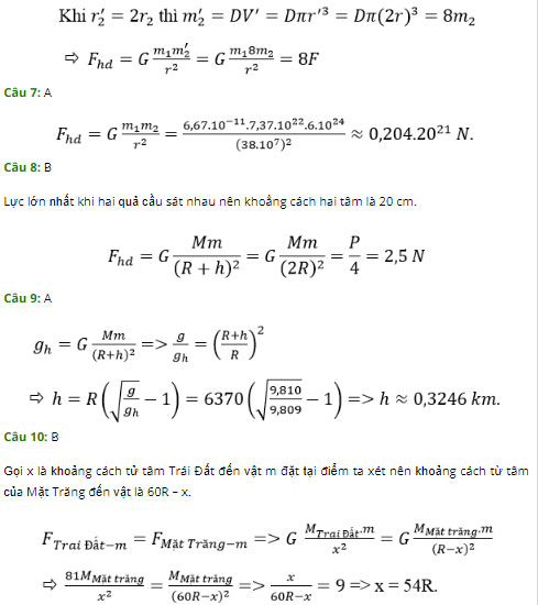
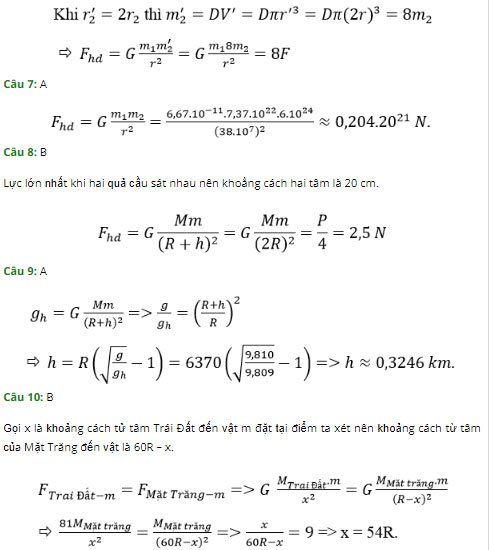
Câu 6: Hai khối cầu giống nhau được đặt sao cho tâm cách nhau khoảng r thì lực hấp dẫn giữa chúng là F. Nếu thay một trong hai khối cầu trên bằng một khối cầu đồng chất khác nhưng có bán kính lớn gấp hai, vẫn giữ nguyên khoảng cách giữa hai tâm (hai khối cầu không chạm nhau) thì lực hấp dẫn giữa chùng lúc này là?
A. 2F.
B. 16F.
C. 8F.
D. 4F.
Câu 7: Cho biết khoảng cách giữa tâm Mặt Trăng và tâm Trái 38.107 m; khối lượng Mặt Trăng và Trái Đất tương ứng là 7,37.1022 kg và 6.1024 kg; hằng số hấp dẫn G = 1,0672.10-8 N. Lực hấp dẫn giữa Trái Đất và Mặt Trăng có độ lớn là?
A. 0,204.1021 N.
B. 2,04.1021 N.
C. 22.1025 N.
D. 2.1027 N.
Câu 8: Ở mặt đất, một vật có trọng lượng 10 N. Nếu chuyển vật này ở độ cao cách Trái Đât một khoảng R (R là bán kính Trái Đất) thì trọng lượng của vât bằng?
A. 1 N.
B. 2,5 N.
C. 5 N.
D. 10 N.
Câu 9: Biết gia tốc rơi tự do ở đỉnh và chân một ngọn núi lần lượt là 9,809 m/s2 và 9,810 m/s2. Coi Trái Đất là đồng chất và chân núi cách tâm Trái Đất 6370 km. Chiều cao ngọn núi này là?
A. 324,7 m.
B. 640 m.
C. 649,4 m.
D. 325 m.
Câu 10: Coi khoảng cách trung bình giữa tâm Trái Đất và tâm Mặt Trăng gấp 60 lần bán kính Trái Đất; khối lượng Mặt Trăng nhỏ hơn khối lượng Trái Đất 81 lần. Xét vật M nằm trên đường thẳng nối tâm Trái Đất và tâm Mặt Trăng mà ở đó có lực hấp dẫn của Trái Đất và của Mặt Trăng cân bằng nhau. So với bán kính Trái Đất, khoảng cách tự M đền tâm Trái Đất gấp?
A. 56,5 lần.
B. 54 lần.
C. 48 lần.
D. 32 lần.
Hướng dẫn giải và đáp án trắc nghiệm Vật lý 10
| Câu | 1 | 2 | 3 | 4 | 5 | 6 | 7 | 8 | 9 | 10 |
| Đáp án | D | C | A | C | C | C | A | B | A | B |
Câu 5: C
\(F_{hd}=\ G\frac{m_1m_2}{r_2}=\ \frac{6,67.10^{-11}.20^2}{0,5^2}=\ 1,067.10^{-7}N\)
Câu 6: C
Hiện tại, các em học sinh lớp 10 đang bận rộn chuẩn bị cho kì thi học kì. Để ôn thi học kì 1 lớp 10 tốt hơn, mời các em tải thêm các đề thi học kì 1 lớp 10 khác. Với những đề thi học kì 1 lớp 10 môn Vật lý, Toán, Anh, Văn,... này, các em sẽ có thêm kinh nghiệm và kiến thức về các dạng bài, chuẩn bị tốt nhất cho kì thi sắp tới.