Trắc nghiệm Vật lý 10 chương 2: Tổng hợp và phân tích lực - Điều kiện cân bằng của chất điểm
Trắc nghiệm Vật lý 10 chương 2
VnDoc.com xin giới thiệu tới bạn đọc tài liệu: Trắc nghiệm Vật lý 10 chương 2: Tổng hợp và phân tích lực - Điều kiện cân bằng của chất điểm, với bộ câu hỏi trắc nghiệm kèm theo lời giải chi tiết sẽ giúp các bạn học sinh giải bài tập Vật lý 10 một cách hiệu quả hơn. Mời các bạn học sinh và thầy cô tham khảo.
Làm online: Trắc nghiệm Vật lý 10 Tổng hợp và phân tích lực - Điều kiện cân bằng của chất điểm
Trắc nghiệm Vật lý 10 chương 1: Sự rơi tự do
Trắc nghiệm Vật lý 10 chương 1: Chuyển động tròn đều
Trắc nghiệm Vật lý 10 chương 1: Tính tương đối của chuyển động - Công thức cộng vận tốc
Trắc nghiệm Vật lý 10: Ôn tập cuối chương 1
Trắc nghiệm Vật lý 10 chương 2: Lực hấp dẫn - Định luật vạn vật hấp dẫn
Trắc nghiệm Vật lý 10 chương 2: Tổng hợp và phân tích lực - Điều kiện cân bằng của chất điểm
Câu 1: Khi nói về phép phân tích lực, phát biểu nào sau đây sai?
A. Phân tích lực là thay thế một lực bằng hai hay nhiều lực có tác dụng giống hệt như lực đó.
B. Khi phân tích một lực thành hai lực thành phần thì phải tuân theo quy tắc hình bình hành.
C. Khi phân tích một lực thành hai lực thành phần thì hai lực thành phần làm thành hai cạnh của hình bình hành.
D. Phân tích lực là phép thay thế các lực tác dụng đồng thời vào vật bằng một lực như các lực đó.
Câu 2: Một chất điểm chịu tác dụng đồng thời của hai lực thành phần có độ lớn F1 và F2 thì hợp lực F của chúng luôn có độ lớn thỏa mãn hệ thức:

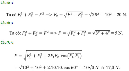
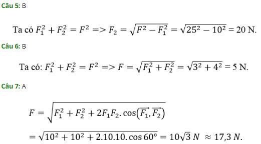
Câu 5: Một chất điểm chịu tác dụng đồng thời của hai lực thành phần vuông góc với nhau có độ lớn lần lượt là F1 = 5 N và F2. Biết hợp lực trên có độ lớn là 25 N. Giá trị của F2 là?
A. 10 N.
B. 20 N.
C. 30 N.
D. 40 N.
Câu 6: Hai lực có giá đồng quy có độ lớn là 3 N là 4 N và có phương vuông góc với nhau. Hợp lực của hai lực nàu có độ lớn là?
A. 7 N.
B. 5 N.
C. 1 N.
D. 12 N.
Câu 7:

A. 17,3 N.
B. 20 N.
C. 14,1 N.
D. 10 N.
Câu 8: Hai lực có giá đồng quy có độ lớn 7 N và 13 N. Độ lớn hợp lực của hai lực này không thể có giá trị nào sau đây?
A. 7 N.
B. 13 N.
C. 20 N.
D. 22 N.
Câu 9: Một chất điểm chịu tác dụng của hai lực thành phần có độ lớn 6 N là 8 N. Biết hợp lực của hai lực này có giá trị 10 N, góc tạo bởi hai lực này là?
A. 90o.
B. 30o.
C. 45o.
D. 60o.
Câu 10:

A. 30 N.
B. 20 N.
C. 15 N.
D. 45 N.
Câu 11:

A. 0.
B. F.
C. 2F.
D. 3F.
Câu 13: Một vật chịu tác dụng của bốn lực đồng phẳng, đồng quy nằm ngang gồm lực F1 = 10 N hướng về phía Đông, lực F2 = 20 N hướng về phía Bắc, lực F3 = 22 N hướng về phía Tây, lực F4 = 36 N hướng về phía Nam. Độ lớn của hợp lực do các lực này tác dụng lên vật là?
A. 28 N.
B. 20 N.
C. 4 N.
D. 26,4 N.
Câu 14:

Hướng dẫn giải và đáp án trắc nghiệm Vật lý 10
| Câu | 1 | 2 | 3 | 4 | 5 | 6 | 7 |
| Đáp án | D | B | D | C | B | B | A |
| Câu | 8 | 9 | 10 | 11 | 12 | 13 | 14 |
| Đáp án | D | A | A | D | A | B | A |

Câu 8: D
|F1 – F2| ≤ F ≤ F1 + F2 ⇒ 6 N ≤ F ≤ 20 N.
Câu 9: A




Hiện tại, các em học sinh lớp 10 đang bận rộn chuẩn bị cho kì thi học kì. Để ôn thi học kì 1 lớp 10 tốt hơn, mời các em tải thêm các đề thi học kì 1 lớp 10 khác. Với những đề thi học kì 1 lớp 10 môn Vật lý, Toán, Anh, Văn,... này, các em sẽ có thêm kinh nghiệm và kiến thức về các dạng bài, chuẩn bị tốt nhất cho kì thi sắp tới.