Trắc nghiệm Vật lý 10: Ôn tập cuối chương 5
Vật lý lớp 10: Ôn tập cuối chương 5
VnDoc.com xin giới thiệu tới bạn đọc tài liệu: Trắc nghiệm Vật lý 10: Ôn tập cuối chương 5, tài liệu kèm theo đáp án và lời giải chi tiết sẽ giúp các bạn học sinh rèn luyện cách giải bài tập Vật lý 10 hiệu quả hơn. VnDoc.com mời các bạn học sinh và thầy cô tham khảo.
Trắc nghiệm Vật lý 10 chương 5: Cấu tạo chất - Thuyết động học phân tử chất khí
Trắc nghiệm Vật lý 10 chương 5: Quá trình đẳng nhiệt - Định luật Bôi-lơ - Ma-ri-ốt
Trắc nghiệm Vật lý 10 chương 5: Quá trình đẳng tích - Định luật Sác-lơ
Trắc nghiệm Vật lý 10 chương 5: Phương trình trạng thái của khí lí tưởng
Trắc nghiệm Vật lý 10 chương 6: Nội năng và sự biến thiên nội năng
Trắc nghiệm Vật lý 10: Ôn tập cuối chương 5
Câu 1: Khi một lượng khí bị nén đẳng nhiệt, áp suất của nó tăng lên là do?
A. Các phân tử khí va chạm vào thành bình mạnh hơn.
B. Số lần các phân tử khí va chạm vào nhau trong mỗi giây tăng lên.
C. Số lấn các phân tử khí va chạm vào một đơn vị diện tích của thành bình trong mỗi giây tăng lên.
D. Các phân tử khí tập trung chuyển động theo một hướng ưu tiên.
Câu 2: Hệ thức không liên quan đến các đẳng quá trình là?
A. p/T = const.
B. p/V = const.
C. p1V1 = p2V2.
D. V/T = const.
Câu 3: Đường biểu diễn nào sau đây không phải là đường biểu diến đẳng quá trình?

Câu 4: Có một lượng khí trong bình. Nếu thể tích bình tăng gấp 4 lần, còn nhiệt độ giảm đi một nửa thì áp suất khí?
A. Giảm đi 4 lần.
B. Tăng lên 4 lần.
C. Tăng lên 8 lần.
D. Giảm đi 8 lần.
Câu 5: Khi thể tích bình tăng gấp 5 lần, nhiệt độ giảm đi một nửa thì áp suất của một lượng khí chứa trong bình?
A. Tăng gấp đôi.
B. Tăng 5 lần.
C. Giảm 10 lần.
D. Không đổi.
Câu 6: Một xilanh nằm ngang trong có pit-tông. Đáy xilanh ở bên trái chứa một khối khí và pit-tông ở cách đáy một đoạn là 20 cm. Coi nhiệt độ không đổi. Để áp suất khí trong xilanh tăng gấp 4 lần thì phải đẩy pit-tông sang?
A. Phải 5 cm.
B. Trái 5 cm.
C. Phải 10 cm.
D. Trái 10 cm.
Câu 7: Một cốc chứa không khí ở điểu kiện chuẩn được đậy kín bằng một nắp đậy có khối lượng m. Diện tích tiết diện miệng cốc là 5 cm2. Khi đun nóng không khí trong bình lên đến 100oC thì nắp cốc bị đẩy lên vừa hở miệng cốc và không khí nóng thoát ra ngoài. Biết áp suất khí quyển po = 1 atm = 105 N.m2. Khối lượng m của nắp đậy là?
A. 3,66 kg.
B. 4 kg.
C. 6,96 kg.
D. 1,87 kg.
Câu 8: Một bóng đèn dây tóc chứa khí trơ. Khi đèn sáng, nhiệt độ của bóng đèn là 420oC, áp suất khí trong bóng đèn bằng áp suất khí quyển po = 1 atm. Áp suất khí trong bóng chưa phát sáng ở 25oC là?
A. 0,43 atm.
B. 0,55 atm.
C. 2,32 atm.
D. 0,77 atm.
Câu 9: Cho đồ thị biến đổi trạng thái của một khối khí lí tưởng xác định trong một hệ tọa độ V, T, từ trạng thái (1) đến trạng thái (2) hình V.1. Đồ thị biểu diễn đúng quá trình biến đổi trạng thái của khối khí này trong hệ tọa độ p, V hoặc p, T là?

Câu 10: Một khối khí ban đầu có các thông số trạng thái là: po; VO; TO. Biến đổi đẳng áp đến 2VO sau đó nén đẳng nhiệt về thể tích ban đầu. Đồ thị diễn tả quá trình biến đổi trên là?

Câu 11: Một khí khi đặt ở điều kiện nhiệt độ không đổi thì có sự biến thiên của thể tích theo áp suất như hình V.2. Khi áp suất có giá trị 500 N/m2 thì thể tích khối khí bằng?

A. 3,6 m3.
B. 4,8 m3.
C. 1,2 m3.
D. 20 m3.
Câu 12: Cho đồ thị biểu diễn sự biến đổi trạng thái của một khối khí lí tưởng trong hệ tọa độ (p, V) như hình V.3. Biết nhiệt độ ban đầu cảu khí t1 = 27oC. Nhiệt độ sau cuàng t3 của khí là?

A. 900oC.
B. 627oC.
C. 81oC.
D. 300oC.
Câu 13: Hình V.4 là đồ thị chu trình của 1 mol khí lí tưởng trong hệ tạo độ (V, T). Đồ thị chu trình này trong hệ tọa độ (p, V) là?

Câu 14: Một xi lanh có pit-tông cach nhiệt và nằm ngang, pit-tông ở vị trí chia xilanh thành hai phần bằng nhau, chiều dài của mỗi phần là 20 cm. Mỗi phần chứa một lượng khí như nhau ở 27oC. Muốn pit-tông dich chuyển 2 cm thì phải đun nóng khí ở một phần lên thêm?
A. 33,3oC.
B. 66,7oC.
C. 54oC.
D. 27oC.
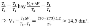
Câu 15: Môt pit-tông có thể trượt không ma sat dọc theo một xilanh đặt nằm ngang (Hình V.5). Khi nhiệt độ không khí trong xilanh tăng từ t1 = 30oC lên t2 = 55oC thì thể tích của nó tăng thêm một lượng ΔV = 1,2 dm3. Thể tích ban đầu của không khí ở 30oC là?

A. 14,5 dm3.
B. 1,44 dm3.
C. 2.88 dm3.
D. 29 dm3.
Hướng dẫn giải và đáp án Trắc nghiệm Vật lý 10 chương 5
| Câu | 1 | 2 | 3 | 4 | 5 | 6 | 7 | 8 | 9 | 10 |
| Đáp án | C | B | A | D | C | D | D | A | B | C |
| Câu | 11 | 12 | 13 | 14 | 15 | |||||
| Đáp án | B | B | A | B | A |
Câu 4: D
Do
\(\frac{p^{^V}}{T\ }=\ \frac{p_14v}{\frac{T}{2}}\) nên
\(p_1=\ \frac{p}{8}\)

Câu 11: B

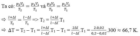
Câu 14: B
Trạng thái đầu của khí ở hai bên xilanh: p1; V1 = sl; T1 (1)
Đối với phần khí bị nung nóng:
Trạng thái cuối: p2 ; V2 = S(l + Δl); T2. (2)
Đối với phần khí không bị nung nóng
Trạng thái cuối: p3 = p2; V3 = S(l - Δl); T3 = T1 (3)
Câu 15: A
Vì pit-tông trượt không ma sát nên áp suất của không khí trong xilanh bằng áp suất khí quyển bên ngoài. Do đó ta có: