Bài tập Vật lý lớp 6: Đo độ dài
Bài tập Đo độ dài lớp 6
Bài tập Vật lý lớp 6: Đo độ dài bao gồm các dạng bài tập Trắc nghiệm có đáp án chi tiết cho các em học sinh tham khảo, củng cố kỹ năng giải các dạng Bài tập Vật lý chương 1 lớp 6, chuẩn bị cho các bài thi trong năm học. Mời các em học sinh tham khảo chi tiết.
Bài tập Vật lý 6: Đo độ dài
Bài 1: Chọn phương án sai
Người ta thường sử dụng đơn vị đo độ dài là
A. mét (m)
B. kilômét (km)
C. mét khối (m3)
D. đềximét (dm)
Đáp án
Mét khối (m3) là đơn vị đo thể tích ⇒ Đáp án C sai
Bài 2: Giới hạn đo của thước là
A. độ dài lớn nhất ghi trên thước.
B. độ dài giữa hai vạch chia liên tiếp trên thước.
C. độ dài nhỏ nhất ghi trên thước.
D. độ dài giữa hai vạch bất kỳ ghi trên thước.
Đáp án
Giới hạn đo của thước là độ dài lớn nhất ghi trên thước ⇒ Đáp án A
Bài 3: Dụng cụ nào trong các dụng cụ sau không được sử dụng để đo chiều dài?
A. Thước dây
B. Thước mét
C. Thước kẹp
D. Compa
Đáp án
Dụng cụ compa dùng để vẽ đường tròn không được sử dụng để đo chiều dài.
⇒ Đáp án D
Bài 4: Đơn vị đo độ dài hợp pháp thường dùng ở nước ta là
A. mét (m)
B. xemtimét (cm)
C. milimét (mm)
D. đềximét (dm)
Đáp án
Đơn vị đo độ dài hợp pháp thường dùng ở nước ta là mét (m) ⇒ Đáp án A.
Bài 5: Độ chia nhỏ nhất của một thước là:
A. số nhỏ nhất ghi trên thước.
B. độ dài giữa hai vạch chia liên tiếp ghi trên thước.
C. độ dài giữa hai vạch dài, giữa chúng còn có các vạch ngắn hơn.
D. độ lớn nhất ghi trên thước.
Đáp án
Độ chia nhỏ nhất của một thước là độ dài giữa hai vạch chia liên tiếp ghi trên thước.
⇒ Đáp án B
Bài 6: Cho biết thước ở hình bên có giới hạn đo là 8 cm. Hãy xác định độ chia nhỏ nhất của thước.
![]()
A. 1 mm
B. 0,2 cm
C. 0,2 mm
D. 0,1 cm
Đáp án
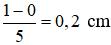
Trong khoảng rộng 1 cm có 6 vạch chia, tạo thành 5 khoảng. Do đó khoảng cách nhỏ nhất giữa hai vạch chia là
![]()
⇒ ĐCNN của thước là 0,2 cm ⇒ Đáp án B
Bài 7: Trên một cái thước có số đo lớn nhất là 30, số nhỏ nhất là 0, đơn vị là cm. Từ vạch số 0 đến vạch số 1 được chia làm 10 khoảng bằng nhau. Vậy GHĐ và ĐCNN của thước là:
A. GHĐ 30 cm, ĐCNN 1 cm
B. GHĐ 30 cm, ĐCNN 1 mm
C. GHĐ 30 cm, ĐCNN 0,1 mm
D. GHĐ 1 mm, ĐCNN 30 cm
Đáp án
Giới hạn đo của thước là 30 cm.
Từ vạch số 0 đến vạch số 1 chia làm 10 khoảng nên độ chia nhỏ nhất của thước bằng:
![]()
⇒ Đáp án B
Bài 8: Xác định giới hạn đo và độ chia nhỏ nhất của thước trong hình

A. GHĐ 10 cm, ĐCNN 1 mm.
B. GHĐ 20 cm, ĐCNN 1 cm.
C. GHĐ 100 cm, ĐCNN 1 cm.
D. GHĐ 10 cm, ĐCNN 0,5 cm.
Đáp án
Thước có giới hạn đo là 10 cm.
Từ vạch số 0 đến vạch số 1 chia làm 2 khoảng nên độ chia nhỏ nhất của thước bằng:
![]()
Bài 9: Để đo khoảng cách từ Trái Đất lên Mặt Trời người ta dùng đơn vị:
A. Kilômét
B. Năm ánh sáng
C. Dặm
D. Hải lí
Đáp án
Để đo khoảng cách từ Trái Đất lên Mặt Trời người ta dùng đơn vị năm ánh sáng
Bài 10: Thuật ngữ “Tivi 21 inches” để chỉ:
A. Chiều dài của màn hình tivi.
B. Đường chéo của màn hình tivi.
C. Chiều rộng của màn hình tivi.
D. Chiều rộng của cái tivi.
Đáp án
Thuật ngữ “Tivi 21 inches” để chỉ đường chéo của màn hình tivi.
Chọn đáp án B
Các em học sinh tham khảo thêm: Trắc nghiệm Vật lý 6 bài 1 và các bài giải SGK môn Toán lớp 6, Môn Ngữ văn 6, Môn Vật lý 6, môn Sinh Học 6, Lịch sử 6, Địa lý 6....và các đề thi học kì 1 lớp 6 và đề thi học kì 2 lớp 6 để chuẩn bị cho các bài thi đề thi học kì đạt kết quả cao.