Đề kiểm tra học kì 1 Vật Lý 9 - Đề 2
Đề kiểm tra học kì 1 Vật Lý 9
Đề kiểm tra học kì 1 Vật Lý 9 - Đề 2 do VnDoc sưu tầm và biên soạn, với các câu hỏi bao quát kiến thức trọng tâm môn Lý 9 đã được học, hỗ trợ học sinh trong quá trình ôn luyện nâng cao kết quả học tập lớp 9.
Đề kiểm tra học kì 1 Vật Lí 9 - Đề 2
Câu 1: Khi đặt vào hai đầu dây dẫn một hiệu điện thế 9V thì cường độ dòng điện qua nó là 0,6A. Nếu hiệu điện thế đặt vào hai đầu dây dẫn tăng lên đến 15V thì cường độ dòng điện chạy qua nó là bao nhiêu?
A. 1,2A
B. 1A
C. 0,9A
D. 1,8A
Câu 2: Hệ thức nào dưới đây biểu thị định luật Ôm?
A. U = R/I
B. I = U/R
C. I = R.U
D. R = IU
Câu 3: Trên hình vẽ là đồ thị biểu diễn sự phụ thuộc của cường độ dòng điện và hiệu điện thế đối với 3 dây dẫn khác nhau. Dựa vào đồ thị cho biết thông tin nào dưới đây là đúng khi so sánh giá trị của các điện trở?

A. R1 > R2 > R3
B. R1 = R2 = R3
C. R2 > R1 > R3
D. R1 < R2 < R3
Câu 4: Cho mạch điện gồm R1 nối tiếp R2. U= 9V, R1 = 1,5Ω và hiệu điện thế hai đầu điện trở R2 là 6V. Cường độ dòng điện trong mạch là:
A. 10A
B. 6A
C. 4A
D. 2A
Câu 5: Cho điện trở R1 = 80Ω chịu được cường độ dòng điện tối đa là 0,6A và điện trở R2 = 60Ω chịu được cường độ dòng điện tối đa là 0,4A. Có thể mắc nối tiếp hai điện trở trên vào hiệu điện thế tối đa là
A. U = 24V
B. U = 18V
C. U = 54V
D. U = 56V
Câu 6: Hai dây nhôm có cùng tiết diện, một dây dài l1 có điện trở là 2Ω và có chiều dài 10m, dây thứ hai có điện trở R2 = 17Ω. Chiều dài của dây thứ hai là
A. 34m
B. 170m
C. 85m
D. 11,76m
Câu 7: Công thức tính điện trở của một dây dẫn hình trụ, đồng chất, tiết diện đều, có chiều dài l, đường kính d và có điện trở suất là ρ là gì?

Câu 8: Một mạch điện gồm hai điện trở R1 = 2(Ω) mắc song song với R2 thì cường độ dòng mạch chính là 1,5(A) và dòng qua R2 là 0,5(A). Giá trị điện trở R2 là
A. R2 = 2(Ω)
B. R2 = 3,5(Ω)
C. R2 = 2,5(Ω)
D. R2 = 4(Ω)
Câu 9: Hai điện trở R1, R2 mắc song song vào mạch điện, biết R2 = 1/3 R1 thì dòng điện qua R1 là I1= 0,2 (A). Cường độ dòng điện chạy qua mạch chính là
A. I = 0,4(A)
B. I = 0,6(A)
C. I = 0,59(A)
D. I = 0,8(A)
Câu 10: Cho hai bóng đèn: bóng 1 loại 220V – 40W và bóng 2 loại 220V – 100W. Nhận xét nào sau đây là đúng khi mắc song song hai bóng trên vào nguồn điện 220V?
A. Hiệu điện thế hai đầu bóng đèn 1 nhỏ hơn hiệu điện thế phía đầu bóng đèn 2.
B. Cường độ dòng điện qua bóng đèn 1 bằng cường độ dòng điện qua bóng đèn 2.
C. Cả hai bóng đèn đều sáng bình thường.
D. hai bóng đèn sang như nhau.
Câu 11: Công thức nào dưới đây là công thức tính công suất điện?
A. P = I.R2
B. P = U.I
C. P = U2/I
D. P = U.I2
Câu 12: Một dòng điện có cường độ 2mA chạy qua một dây dẫn có điện trở 3kΩ. Công suất tỏa nhiệt trên dây có độ lớn là
A. 6W
B. 6000W
C. 0,012W
D. 18W
Câu 13: Một bóng đèn có ghi 220V – 75W, khi đèn sang bình thường thì điện năng sử dụng của đèn trong 1 giờ là
A. 75kJ
B. 150kJ
C. 240kJ
D. 270kJ
Câu 14: Một dòng điện có cường độ 2A chạy qua dây dẫn có điện trở 20Ω trong thời gian 30 phút thì tỏa ra nhiệt lượng là
A. 1200J
B. 144000J
C. 7200J
D. 24000J
Câu 15: Một dây may đo có điện trở R được mắc vào hiệu điện thế U rồi nhúng vào chậu nước chứa 4 lít nước nhiệt độ 20oC. Sau t phút, nhiệt lượng tỏa ra do hiệu ứng Jun-Len-xơ là 30000J. Biết nhiệt dung riêng của nước là c = 4200J/kg.độ, nhiệt độ nước sau thời gian nói trên có thể nhận giá trị nào trong các giá trị sau?
A. t = 28,1oC
B. t = 82,1oC
C. t = 21,8oC
D. t = 56,2oC
Câu 16: Trong các biện pháp sau đây, biện pháp nào không tiết kiệm điện?
A. Thay đèn sợi tóc bằng đèn ống.
B. Thay dây dẫn to bằng dây dẫn nhỏ cùng loại.
C. Chỉ sử dụng thiết bị điện trong thời gian cần thiết.
D. Sử dụng nhiều các thiết bị nung nóng.
Câu 17: Từ phổ là gì?
A. Lực từ tác dụng lên kim nam châm.
B. Hình ảnh cụ thể về các đường sức từ.
C. Các mạt sắt được rắc lên thanh nam châm.
D. Từ trường xuất hiện xung quanh dòng điện.
Câu 18: Theo quy tắc bàn tay trái thì ngón tay choãi ra 90° chỉ chiều nào dưới đây?
A. Chiều dòng điện chạy qua dây dẫn.
B. Chiều từ cực Bắc đến cực Nam của nam châm.
C. Chiều cực Nam đến cực Bắc của nam châm.
D. Chiều của lực từ tác dụng lên dây dẫn có dòng điện chạy qua.
Câu 19: Câu phát biểu nào sau đây là đúng khi nói về từ trường của dòng điện?
A. Xung quanh bất kì dòng điện nào cũng có từ trường.
B. Từ trường chỉ tồn tại xung quanh những dòng điện có cường độ rất lớn.
C. Dòng điện có cường độ nhỏ không tạo từ trường xung quanh nó.
D. Từ trường chỉ tồn tại ở sát mặt dây dẫn có dòng điện.
Câu 20: Điều kiện để xuất hiện dòng điện cảm ứng trong cuộn dây dẫn kín là
A. số đường sức từ xuyên qua tiết diện của cuộn dây dẫn kín không đổi.
B. số đường sức từ xuyên qua tiết diện của cuộn dây dẫn kín biến thiên.
C. số đường sức từ song song với mặt phẳng tiết diện của cuộn dây dẫn kín không đổi.
D. từ trường xuyên qua tiết diện của cuộn dây dẫn kín không thay đổi.
Đáp án đề kiểm tra học kì 1 Vật lí 9
| Câu | 1 | 2 | 3 | 4 | 5 | 6 | 7 | 8 | 9 | 10 |
| Đáp án | B | B | D | D | D | C | A | D | D | C |
| Câu | 11 | 12 | 13 | 14 | 15 | 16 | 17 | 18 | 19 | 20 |
| Đáp án | B | C | D | B | C | D | B | D | A | B |
Câu 1: B
Hiệu điện thế giữa hai đầu dây dẫn tăng bao nhiêu lần thì cường độ dòng điện chạy qua dây dẫn đó cũng tăng bấy nhiêu lần. Hiệu điện thế đặt vào dây dẫn đã tăng lên 5/3 lần nên cường độ dòng điện cũng tăng lên 5/3 lần. Nên I = 1A.
Câu 2: B
Hệ thức biểu thị định luật Ôm là: I = U/R.
Câu 3: D
Từ định luật Ôm ta có R = U/I. Từ đồ thị ứng với U = 12V ta có các giá trị I1 > I2 > I3 ta suy ra R1 < R2 < R3.
Câu 4: D
U1 = U – U2 = 9 – 6 = 3V, suy ra I = U1/R1 = 3/1,5 = 2(A)
Câu 5: D
Vì mắc nối tiếp hai điện trở chỉ chịu được cường độ dòng điện tối đa là 0,4A. Vậy hiệu điện thế tối đa U = I(R1 + R2) = 0,4(80 + 60) = 56V
Câu 6: C
Vì điện trở tỉ lệ với chiều dài nên R1/R2 = l1/l2 = 2/17 => l2 = l1. 17/2 = 10.17/2 = 85m
Câu 7: A
Câu 8: D
Dòng điện qua R1: I1 = I – I2 = 1,5 – 0,5 = 1(A)
Hiệu điện thế hai đầu mạch: U = I1.R1 = 1.2 = 2(V)
=> Điện trở R2 = U/I2 = 2/0,5 = 4(Ω)
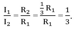
Câu 9: D
Trong mạch song song ta có:

Vậy I1/I2 = 1/3 => I2 = 3I1 = 3.0,2 = 0,6(A)
Cường độ mạch chính là: I = I1 + I2 = 0,2 + 0,6 = 0,8(A)
Câu 10: C
Khi mắc song song hai bóng trên thì cả hai bóng đều sáng bình thường.
Câu 11: B
Công thức tính công suất điện là P = U.I
Câu 12: C
Công suất tỏa nhiệt trên dây P = I2R = (2.10-3)2.3000 = 12.10-3 W = 0,012W.
Câu 13: D
Điện năng sử dụng trong 1 giờ A = P.t = 75.3600 = 270000J = 270kJ
Câu 14: B
Nhiệt lượng tỏa ra Q = I2Rt = 22.20.30.60 = 144 000J
Câu 15: C
Nhiệt nhận Q = cm∆to => ∆to = Q/cm = 30000/4200.4 = 1,78° ≈ 1,8°.
Nhiệt độ cuối t = to + ∆to = 20 + 1,8 = 21,8oC
Câu 16: D
Biện pháp sử dụng nhiều các thiết bị nung nóng là không tiết kiệm điện.
Câu 17: B
Từ phổ là hình ảnh cụ thể về các đường sức từ (do mạt sắt tạo ra).
Câu 18: D
Theo quy tắc bàn tay trái thì ngón tay cái choãi ra 90° chỉ chiều của lực từ tác dụng lên dây dẫn có dòng điện chạy qua.
Câu 19: A
Xung quanh bất kì dòng điện nào cũng có từ trường.
Câu 20: B
Điều kiện để xuất hiện dòng điện cảm ứng trong cuộn dây dẫn kín là số đường sức từ xuyên qua tiết diện của cuộn dây dẫn kín biến thiên.