Đề thi học kì 2 môn Toán lớp 4 năm 2026 - Đề 2
Đề thi học kì 2 môn Toán lớp 4 năm 2026
Đề thi học kì 2 môn Toán lớp 4 năm 2026 - Đề 2 được VnDoc sưu tầm, chọn lọc các dạng bài tập Toán lớp 4 trọng tâm cho các em học sinh ôn tập, củng cố kiến thức chuẩn bị cho các bài thi học kì 2 lớp 4. Mời các thầy cô cùng các em học sinh tham khảo chi tiết Đề thi Toán lớp 4 Học kì 2 này nhé.
Đề thi Toán lớp 4 Học kì 2
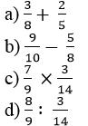
Bài 1. Tính:

Bài 2. Khoanh vào chữ đặt trước câu trả lời đúng:
a) Số: “Bảy trăm hai mươi tư nghìn bốn trăm năm mươi lăm” viết là:
A. 7244505
B. 724455
C. 72455
D. 7240455

c) Số thích hợp viết vào chỗ chấm để 25 m2 4 dm2 = ….. dm2 là:
A. 254
B. 2540
C. 2504
D. 25004
d) Năm 1254 thuộc thế kỉ:
A. XI
B. XII
C. XII
D. XIV
Bài 3. > ; = ; < ?

Bài 4. Lớp 4A có số học sinh nữ bằng 3/5 số học sinh nam. Tìm số học sinh nam, số học sinh nữ lớp đó biết rằng số học sinh nam nhiều hơn số học sinh nữ là 10 học sinh.
Bài 5. Hình bên có ABCD là hình vuông, AEGD là hình chữ nhật có chiều dài 11 cm, chiều rộng 8 cm. Tính diện tích hình chữ nhật BEGC. (Biết DG = 11 cm, AD = 8 cm)

Đáp án Đề thi Toán lớp 4 Học kì 2
Bài 1:

Bài 2.
a) B
b) A
c) C
d) C
Bài 3.
a) >
b) <
c) =
d) <
Bài 4.
Ta có sơ đồ:

Hiệu số phần bằng nhau là: 5 – 3 = 2 (phần)
Số học sinh nữ là: 10 : 2 x 3 = 15( học sinh )
Số học sinh nam là : 15 + 10 = 25 (học sinh)
Đáp số: Nam: 25 học sinh; Nữ 15 học sinh.
Bài 5.
Diện tích hình vuông ABCD là: 8 x 8 = 64 (cm2)
Diện tích hình chữ nhật AEGD là: 11 x 8 = 88 (cm2)
Diện tích hình chữ nhật BEGC là: 88 – 64 = 24 (cm2)
Đáp số: 24 cm2
>> Tham khảo: Đề ôn tập học kì 2 môn Toán lớp 4 - Đề 3
Ngoài Đề ôn tập học kì 2 môn Toán lớp 4 - Đề 2 trên, các bạn luyện tập thêm: Đề thi học kì 2 lớp 4 môn Tiếng Việt; Đề thi học kì 2 lớp 4 môn Tiếng Anh; Đề thi học kì 2 lớp 4 môn Khoa học,....