Đề thi học kì 2 môn Toán lớp 4 năm 2026 - Đề 3
Đề thi học kì 2 môn Toán lớp 4 năm 2026
Đề thi học kì 2 môn Toán lớp 4 năm 2026 - Đề 3 được VnDoc sưu tầm, chọn lọc các dạng bài tập Toán lớp 4 trọng tâm cho các em học sinh ôn tập, củng cố kiến thức chuẩn bị cho các bài thi học kì 2 lớp 4. Mời các thầy cô cùng các em học sinh tham khảo chi tiết Đề thi Toán lớp 4 Học kì 2 này nhé.
Đề thi học kì 2 môn Toán lớp 4
Bài 1. Khoanh vào chữ đặt trước câu trả lời đúng:
a) Chữ số 3 trong số 253768 chỉ:
A. 300
B. 3000
C. 30000
D. 300000

Bài 2. Đúng ghi Đ, sai ghi S vào ô trống:

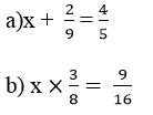
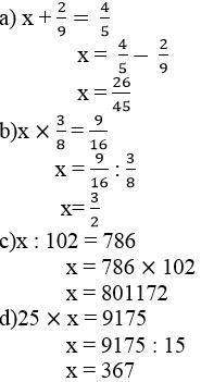
Bài 3. Tìm x biết:

c) x: 102 = 786
d) 25 x X = 9175
Bài 4. Hai kho có tất cả 15 tấn 3 tạ thóc. Kho A có số thóc bằng 4/5 số thóc kho B. Hỏi mỗi kho có bao nhiêu tạ thóc?
Bài 5. Hình bên có ABCD là hình bình hành

a) Cạnh AB song song với cạnh:….
b) Cạnh BC song song với cạnh: ….(AH = 7 dm)
c) Đoạn thẳng AH vuông góc với đoạn thẳng…
d) Diện tích hình bình hành ABCD là : …
Đáp án Đề thi học kì 2 môn Toán lớp 4
Bài 1:
a) B
b) C
c) D
Bài 2.
a) S
b) Đ
c) Đ
d) S
Bài 3.

Bài 4.
Đổi 15 tấn 3 tạ = 153 tạ
Tổng số phần bằng nhau là: 4 + 5 = 9 (phần)
Số thóc ở kho A là: 153 : 9 x 4 = 68 tạ
Số thóc ở kho B là: 153 – 68 = 85 tạ
Đáp số: Kho A: 68 tạ
Kho B 85 tạ
Bài 5.
a) Cạnh AB song song với cạnh DC
b) Cạnh BC song song với cạnh AD
c) Đoạn thẳng AH vuông góc với đoạn thẳng DC
d) Diện tích hình bình hành ABCD là: 15 x 7 = 105 (dm2)
>> Tham khảo: Đề ôn tập học kì 2 môn Toán lớp 4 - Đề 4
Ngoài Đề ôn tập học kì 2 môn Toán lớp 4 - Đề 3 trên, các bạn luyện tập thêm: Đề thi học kì 2 lớp 4 môn Tiếng Việt; Đề thi học kì 2 lớp 4 môn Tiếng Anh; Đề thi học kì 2 lớp 4 môn Khoa học,....