Đề thi học kì 2 môn Toán lớp 4 năm 2026 - Đề 4
Đề thi học kì 2 môn Toán lớp 4 năm 2026 - Đề 4
Đề thi học kì 2 môn Toán lớp 4 năm 2026 - Đề 4 được VnDoc sưu tầm, chọn lọc các dạng bài tập Toán lớp 4 trọng tâm cho các em học sinh ôn tập, củng cố kiến thức chuẩn bị cho các bài thi học kì 2 lớp 4. Mời các thầy cô cùng các em học sinh tham khảo chi tiết Đề thi Toán lớp 4 Học kì 2 này nhé.
Đề thi học kì 2 môn Toán lớp 4
Bài 1. Khoanh vào chữ đặt trước câu trả lời đúng :
a) Cho số 7916…
Chữ số điền vào ô trống để được số vừa chia hết cho 2, vừa chia hết cho 5:
A.2
B. 5
C. 0
D. 8

c) Số thích hợp điền vào chỗ chấm để 105 dm2 8 cm2 = … cm2 là:
A. 1058
B. 10508
C. 10580
D. 15008
d) Một hình bình hành có diện tích 192 cm2, chiều cao 12 cm. Độ dài đáy tương ứng của hình đó là:
A. 32 cm
B. 16 cm
C. 8 cm
D. 64 cm
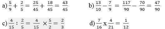
Bài 2. Tính:

Bài 3. Đúng ghi Đ, sai ghi S vào ô trống:
a) Số tự nhiên chia hết cho 3 thì chắc chắn chia hết cho 9 …
b) Số tự nhiên chia hết cho 9 thì chia hết cho 3 …
c) Hình chữ nhật là hình bình hành …
d) Hình bình hành là hình chữ nhật …
Bài 4. > ; = ; < ?

Bài 5. Tổng độ dài đáy và chiều cao của hình bình hành là 75 cm, chiều cao bằng 2/3 độ dài đáy. Tính diện tích của hình bình hành đó.
Bài 6. Tìm x:
![]()
Đáp án Đề thi học kì 2 môn Toán lớp 4
Bài 1:
a) C
b) D
c) B
d) B
Bài 2.

Bài 3.
a) S
b) Đ
c) Đ
d) S
Bài 4.

Bài 5.
Tổng số phần bằng nhau là: 2 + 3 = 5 (phần)
Chiều cao của hình bình hành là: 75 : 5 x 2 = 30 (cm)
Đáy của hình bình hành là: 75 – 30 = 45 (cm)
Diện tích của hình bình hành là : 45 x 30 = 1350 (cm2)
Đáp số: 1350 cm2
Bài 6.

>> Xem thêm: Đề ôn tập học kì 2 môn Toán lớp 4 - Đề 5
Ngoài Đề ôn tập học kì 2 môn Toán lớp 4 - Đề 4 trên, các bạn luyện tập thêm: Đề thi học kì 2 lớp 4 môn Tiếng Việt; Đề thi học kì 2 lớp 4 môn Tiếng Anh; Đề thi học kì 2 lớp 4 môn Khoa học,....