Giao diện mới của VnDoc Pro: Dễ sử dụng hơn - chỉ tập trung vào lớp bạn quan tâm. Vui lòng chọn lớp mà bạn quan tâm: Lưu và trải nghiệm
Đóng
Điểm danh hàng ngày
  • Hôm nay +3
  • Ngày 2 +3
  • Ngày 3 +3
  • Ngày 4 +3
  • Ngày 5 +3
  • Ngày 6 +3
  • Ngày 7 +5
Bạn đã điểm danh Hôm nay và nhận 3 điểm!
Nhắn tin Zalo VNDOC để nhận tư vấn mua gói Thành viên hoặc tải tài liệu Hotline hỗ trợ: 0936 120 169

Đề thi - Đáp án thi tuyển sinh lớp 10 THPT tỉnh Khánh Hòa năm 2014 - 2015

Lớp: Lớp 10
Loại File: PDF
Phân loại: Tài liệu Tính phí

VnDoc.com xin giới thiệu tới bạn đọc "Đề thi - Đáp án kỳ thi thi tuyển sinh lớp 10 THPT tỉnh Khánh Hòa năm học 2014 - 2015" gồm các môn: Toán.

Đề thi tuyển sinh lớp 10 THPT tỉnh Khánh Hòa môn Toán:

Bài 1: (2,00 điểm)

1) Không dùng máy tính cầm tay, tính giá trị biểu thức:

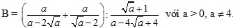
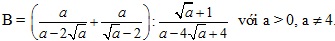
2) Rút gọn biểu thức

Bài 2: (2,00 điểm)

1) Cho hệ phương trình:

Tìm a và b biết hệ phương trình đã cho có nghiệm (x, y) = (2; 3).

2) Giải phương trình:

Bài 3: (2,00 điểm)

Trong mặt phẳng Oxy cho parabol

a) Vẽ đồ thị (P).

b) Trên (P) lấy điểm A có hoành độ xA = -2. Tìm tọa độ điểm M trên trục Ox sao cho |MA - MB| đạt giá trị lớn nhất, biết rằng B(1; 1).

Bài 4: (2,00 điểm)

Cho nửa đường tròn (O) đường kình AB = 2R. Vẽ đường thẳng d là tiếp tuyến của (O) tại B. Trên cung AB lấy điểm M tùy ý (M khác A và B), tia AM cắt d tại N. Gọi C là trung điểm của AM, tia CO cắt d tại D.

a) Chứng minh rằng: OBNC nội tiếp.

b) Chứng minh rằng: NO vuông góc với AD.

c) Chứng minh rằng: CA.CN = CO.CD.

d) Xác định vị trí điểm M để (2AM + AN) đạt giá trị nhỏ nhất.

Chọn file muốn tải về:
Đóng Chỉ thành viên VnDoc PRO/PROPLUS tải được nội dung này!
Đóng
79.000 / tháng
Đặc quyền các gói Thành viên
PRO
Phổ biến nhất
PRO+
Tải tài liệu Cao cấp 1 Lớp
30 lượt tải tài liệu
Xem nội dung bài viết
Trải nghiệm Không quảng cáo
Làm bài trắc nghiệm không giới hạn
Mua cả năm Tiết kiệm tới 48%
9

Có thể bạn quan tâm

Xác thực tài khoản!

Theo Nghị định 147/2024/ND-CP, bạn cần xác thực tài khoản trước khi sử dụng tính năng này. Chúng tôi sẽ gửi mã xác thực qua SMS hoặc Zalo tới số điện thoại mà bạn nhập dưới đây:

Số điện thoại chưa đúng định dạng!
Số điện thoại này đã được xác thực!
Bạn có thể dùng Sđt này đăng nhập tại đây!
Lỗi gửi SMS, liên hệ Admin
Sắp xếp theo
🖼️

Lớp 10

Xem thêm
🖼️

Gợi ý cho bạn

Xem thêm