Giao diện mới của VnDoc Pro: Dễ sử dụng hơn - chỉ tập trung vào lớp bạn quan tâm. Vui lòng chọn lớp mà bạn quan tâm: Lưu và trải nghiệm
Đóng
Điểm danh hàng ngày
  • Hôm nay +3
  • Ngày 2 +3
  • Ngày 3 +3
  • Ngày 4 +3
  • Ngày 5 +3
  • Ngày 6 +3
  • Ngày 7 +5
Bạn đã điểm danh Hôm nay và nhận 3 điểm!
Nhắn tin Zalo VNDOC để nhận tư vấn mua gói Thành viên hoặc tải tài liệu Hotline hỗ trợ: 0936 120 169

Đề thi giải toán trên Máy tính cầm tay cấp Quốc gia năm 2013 môn Toán lớp 12 GDTX

Lớp: Lớp 12
Loại File: PDF
Phân loại: Tài liệu Tính phí

Nhằm giúp các bạn chuẩn bị thật tốt kiến thức để làm bài thi đạt hiệu quả cao, Vndoc.com xin giới thiệu: Đề thi giải toán trên Máy tính cầm tay cấp Quốc gia năm 2013 môn Toán lớp 12 GDTX.

Đề thi môn Toán:

BỘ GIÁO DỤC VÀ ĐÀO TẠO


(ĐỀ THI CHÍNH THỨC)

CUỘC THI GIẢI TOÁN TRÊN MÁY TÍNH CẦM TAY
NĂM HỌC 2013

MÔN: TOÁN - LỚP 12 GDTX CẤP THPT

(Thời gian làm bài 120 phút không kể thời gian giao đề)
Ngày thi: 23/03/2013

Bài 1 (5 điểm)

Cho biểu thức .

Tính giá trị của A khi tanx = 1,324

Bài 2 (5 điểm).

Tính giá trị của tham số m biết rằng hàm số đạt cực đại tại x = -1

Bài 3 (5 điểm)

Tìm giá trị của tham số m (m > 0), sao cho phương trình có nghiệm thực duy nhất.

Bài 4 (5 điểm).

Một người gửi 9,8 triệu đồng tiết kiệm với lãi suất 8,4%/năm và lãi suất hàng năm được nhập vào vốn. Hỏi theo cách đó thì sau bao nhiêu năm người đó thu được tổng số tiền 20 triệu đồng (biết rằng lãi suất không thay đổi)

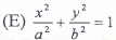
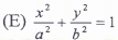
Bài 5 (5 điểm).

Tìm giá trị đúng của m và n để đường thẳng (d): y = mx + n là tiếp tuyến của elip tại điểm A(1; 2) và (E) đi qua điểm

Bài 6 (5 điểm).

Cho lăng trụ tam giác ABC.A'B'C' biết độ dài cạnh bên là 2cm, đáy là tam giác ABC vuông tại A, AB = (cm), AC = (cm) và hình chiếu vuông góc của đỉnh A' trên mặt phẳng (ABC) là trung điểm của cạnh BC.

a) Tính thể tích khối chóp A'.BCC'B'.

b) Tính góc giữa hai đường thẳng AA' và BC (thể tích tính theo đơn vị cm3, góc giữa 2 đường thẳng làm tròn tới độ, phút).

Chọn file muốn tải về:
Đóng Chỉ thành viên VnDoc PRO/PROPLUS tải được nội dung này!
Đóng
79.000 / tháng
Đặc quyền các gói Thành viên
PRO
Phổ biến nhất
PRO+
Tải tài liệu Cao cấp 1 Lớp
30 lượt tải tài liệu
Xem nội dung bài viết
Trải nghiệm Không quảng cáo
Làm bài trắc nghiệm không giới hạn
Mua cả năm Tiết kiệm tới 48%
1

Có thể bạn quan tâm

Xác thực tài khoản!

Theo Nghị định 147/2024/ND-CP, bạn cần xác thực tài khoản trước khi sử dụng tính năng này. Chúng tôi sẽ gửi mã xác thực qua SMS hoặc Zalo tới số điện thoại mà bạn nhập dưới đây:

Số điện thoại chưa đúng định dạng!
Số điện thoại này đã được xác thực!
Bạn có thể dùng Sđt này đăng nhập tại đây!
Lỗi gửi SMS, liên hệ Admin
Sắp xếp theo
🖼️

Lớp 12

Xem thêm
🖼️

Gợi ý cho bạn

Xem thêm