Đề thi giữa học kì 2 lớp 12 môn Toán năm 2018 - 2019 trường THPT Việt Đức - Hà Nội
Đề thi giữa học kì 2 Toán 12
VnDoc xin giới thiệu tới bạn đọc Đề thi giữa học kì 2 lớp 12 môn Toán năm 2018 - 2019 trường THPT Việt Đức - Hà Nội. Nội dung tài liệu gồm 50 câu hỏi trắc nghiệm, thời gian làm bài 90 phút. Mời các bạn học sinh tham khảo.
- Đề thi giữa học kì 2 lớp 12 môn Toán năm 2018 - 2019 trường THPT Nguyễn Khuyến - TP. Hồ Chí Minh
- Đề thi giữa học kì 2 lớp 12 môn Toán năm 2018 - 2019 trường THPT Phước Vĩnh - Bình Dương
- Đề thi giữa học kì 2 lớp 12 môn Toán năm 2018 - 2019 trường THPT Trấn Biên - Đồng Nai
- Đề thi giữa học kì 2 lớp 12 môn Toán năm 2018 - 2019 trường THPT C Nghĩa Hưng - Nam Định
- Đề thi giữa học kì 2 lớp 12 môn Toán năm 2018 - 2019 trường THPT Gia Định - TP. HCM
- Đề thi giữa học kì 2 lớp 12 môn Toán năm 2018 - 2019 trường THPT Nhân Chính - Hà Nội
- Đề thi giữa học kì 2 lớp 12 môn Toán năm 2018 - 2019 trường THPT Nguyễn Chí Thanh - TP. HCM
----------------------------
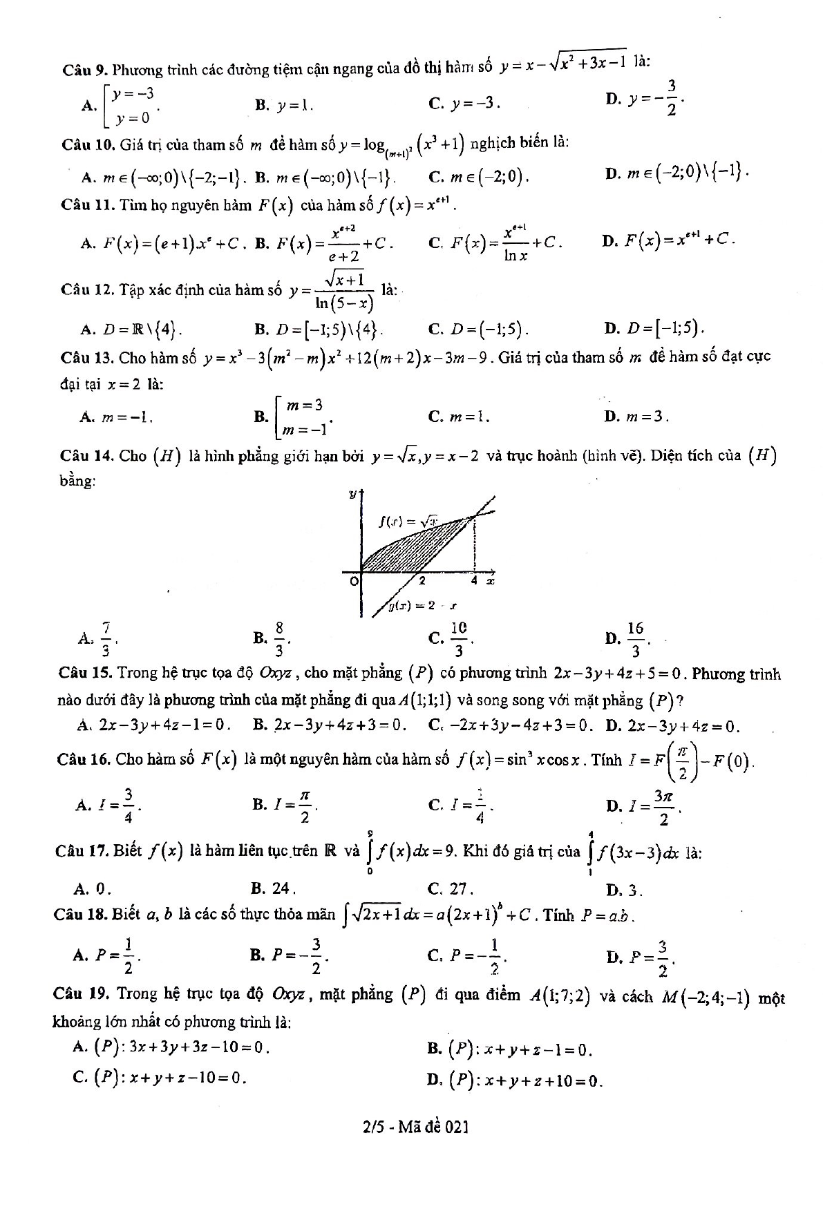
Trên đây VnDoc đã giới thiệu tới bạn đọc Đề thi giữa học kì 2 lớp 12 môn Toán năm 2018 - 2019 trường THPT Việt Đức - Hà Nội. Để có kết quả cao hơn trong học tập, VnDoc xin giới thiệu tới các bạn học sinh tài liệu Giải bài tập Toán lớp 12, Giải bài tập Hóa học lớp 12, Giải bài tập Vật Lí 12, Tài liệu học tập lớp 12 mà VnDoc tổng hợp và đăng tải.


