Giao diện mới của VnDoc Pro: Dễ sử dụng hơn - chỉ tập trung vào lớp bạn quan tâm. Vui lòng chọn lớp mà bạn quan tâm: Lưu và trải nghiệm
Đóng
Điểm danh hàng ngày
  • Hôm nay +3
  • Ngày 2 +3
  • Ngày 3 +3
  • Ngày 4 +3
  • Ngày 5 +3
  • Ngày 6 +3
  • Ngày 7 +5
Bạn đã điểm danh Hôm nay và nhận 3 điểm!
Nhắn tin Zalo VNDOC để nhận tư vấn mua gói Thành viên hoặc tải tài liệu Hotline hỗ trợ: 0936 120 169

Đề thi học sinh giỏi lớp 11 THPT tỉnh Vĩnh Phúc năm 2012 môn Toán - Có đáp án

Lớp: Lớp 11
Dạng tài liệu: Đề thi HSG
Loại File: Word
Phân loại: Tài liệu Tính phí

SỞ GIÁO DỤC VÀ ĐÀO TẠO
TỈNH VĨNH PHÚC

(ĐỀ THI CHÍNH THỨC)

KỲ THI CHỌN HSG LỚP 11 NĂM HỌC 2011-2012
ĐỀ THI MÔN: TOÁN

Dành cho học sinh THPT không chuyên
Thời gian làm bài: 180 phút, không kể thời gian giao đề

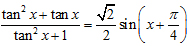
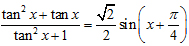
Câu 1 (1,5 điểm).

Giải phương trình:

Câu 2 (3,0 điểm).

1. Gọi A là tập hợp tất cả các số tự nhiên có 5 chữ số. Chọn ngẫu nhiên một số từ tập A, tính xác suất để chọn được một số chia hết cho 7 và chữ số hàng đơn vị bằng 1.

2. Chứng minh đẳng thức sau:

Câu 3 (2,5 điểm).

1. Chứng minh rằng phương trình 8x3 - 6x - 1 = 0 có ba nghiệm thực phân biệt. Hãy tìm 3 nghiệm đó.

2. Cho dãy số (un) được xác định bởi: u1 = sin1, , với mọi n thuộc ¥, n ≥ 2. Chứng minh rằng dãy số (un) xác định như trên là một dãy số bị chặn.

Câu 4 (3,0 điểm).

1. Cho hình chóp tứ giác S.ABCD có đáy ABCD là hình vuông cạnh bằng a√2, các cạnh bên bằng nhau và bằng 3a (a > 0). Hãy xác định điểm O sao cho O cách đều tất cả các đỉnh của hình chóp S.ABCD và tính độ dài SO theo a.

2. Cho hình chóp S.ABC có đường thẳng SA vuông góc với mặt phẳng (SBC). Gọi H là hình chiếu của S lên mặt phẳng (ABC). Chứng minh rằng đường thẳng SB vuông góc với đường thẳng SC, biết rằng .

3. Cho tứ diện ABCD thỏa mãn điều kiện AB = CD, BC = AD, AC = BD và một điểm X thay đổi trong không gian. Tìm vị trí của điểm X sao cho tổng XA + XB + XC + XD đạt giá trị nhỏ nhất.

Chọn file muốn tải về:
Đóng Chỉ thành viên VnDoc PRO/PROPLUS tải được nội dung này!
Đóng
79.000 / tháng
Đặc quyền các gói Thành viên
PRO
Phổ biến nhất
PRO+
Tải tài liệu Cao cấp 1 Lớp
30 lượt tải tài liệu
Xem nội dung bài viết
Trải nghiệm Không quảng cáo
Làm bài trắc nghiệm không giới hạn
Mua cả năm Tiết kiệm tới 48%

Có thể bạn quan tâm

Xác thực tài khoản!

Theo Nghị định 147/2024/ND-CP, bạn cần xác thực tài khoản trước khi sử dụng tính năng này. Chúng tôi sẽ gửi mã xác thực qua SMS hoặc Zalo tới số điện thoại mà bạn nhập dưới đây:

Số điện thoại chưa đúng định dạng!
Số điện thoại này đã được xác thực!
Bạn có thể dùng Sđt này đăng nhập tại đây!
Lỗi gửi SMS, liên hệ Admin
Sắp xếp theo
🖼️

Thi học sinh giỏi lớp 11

Xem thêm
🖼️

Gợi ý cho bạn

Xem thêm