Đề thi học sinh giỏi lớp 9 THCS tỉnh Phú Thọ năm 2012 - 2013 môn Toán - Có đáp án
SỞ GIÁO DỤC VÀ ĐÀO TẠO
|
KỲ THI CHỌN HỌC SINH GIỎI TỈNH
|
Câu 1 (3,0 điểm)
1) Giải phương trình nghiệm nguyên: 8x2 - 3xy - 5y = 25
2) Tìm tất cả số nguyên dương n sao cho A = n.4n + 3n chia hết 7
Câu 2 (4,0 điểm)
1) Rút gọn biểu thức: 
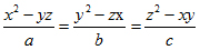
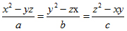
2) Cho các số thực dương a, b, c, x, y, z khác 0 thoả mãn ![]()
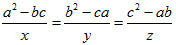
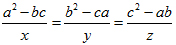
Chứng minh rằng: ![]()
Câu 3 (4,0 điểm)
1) Cho phương trình: x2 - 6x - m = 0 (Với m là tham số). Tìm m để phương trình đã cho có hai nghiệm x1 và x2 thoả mãn x12 - x22 = 12
2) Giải hệ phương trình: 
Câu 4 (7,0 điểm)
1) Cho đường tròn (O) đường kính BD = 2R, dây cung AC của đường tròn (O) thay đổi nhưng luôn vuông góc và cắt BD tại H. Gọi P, Q, R, S lần lượt là chân các đường vuông góc hạ từ H xuống AB, AD, CD, CB.
a) Chứng minh rằng: HA2 + HB2 + HC2 + HD2 không đổi.
b) Chứng minh rằng: PQRS là tứ giác nội tiếp.
2) Cho hình vuông ABCD và MNPQ có bốn đỉnh M, N, P, Q lần lượt thuộc các cạnh AB, BC, CD, DA của hình vuông. Chứng minh rằng: ![]()
Câu 5 (2,0 điểm)
Cho a, b, c là các số thực dương. Chứng minh rằng:![]()