Đề thi giải toán trên máy tính cầm tay lớp 10 THPT tỉnh Thái Nguyên năm 2011 - 2012
Đề thi giải toán trên máy tính cầm tay lớp 10
VnDoc.com xin giới thiệu tới bạn đọc: Đề thi giải toán trên máy tính cầm tay lớp 10 THPT tỉnh Thái Nguyên năm 2011 - 2012 các môn Toán, Vật lý, Sinh học, Hóa học. Đề thi có đáp án đi kèm, hi vọng sẽ giúp các bạn ôn thi học sinh giỏi giải toán trên máy tính Casio hiệu quả nhất. Mời các bạn tham khảo.
Đề thi giải toán trên máy tính cầm tay lớp 10 môn Toán
| SỞ GIÁO DỤC VÀ ĐÀO TẠO THÁI NGUYÊN ĐỀ CHÍNH THỨC |
ĐỀ THI CHỌN HỌC SINH GIỎI CẤP TỈNH GIẢI TOÁN TRÊN MÁY TÍNH CASIO LỚP 10 Năm học 2011 – 2012 Ngày thi: 28/3/2012 |
Bài 1 (5 điểm):
Kết hợp trên giấy và máy tính để tính kết quả đúng của biểu thức: B = 2468103 + 13579112.
Bài 2 (5 điểm): Cho đa thức P(x) = x4 + ax3 + bx2 + cx + d
Biết P(1) = 5; P(2) = 7; P(3) = 9; P(4) = 11
a) Tính a, b, c, d
b) Tính gần đúng giá trị biểu thức: ![]()
Bài 3 (5 điểm):
Tìm tất cả các số nguyên dương thỏa mãn phương trình: 5x2 + y2 - 4xy = 6y - 14x + 170
Bài 4 (5 điểm):
Cho tam giác ABC có AB = 4cm, BC = 7cm, góc ABC = 161o20'12''
a) Tính độ dài đoạn thẳng AC và số đo các góc C
b) Tính diện tích và bán kính đường tròn ngoại tiếp tam giác ABC.
Bài 5 (5 điểm):
Tìm 5 chữ số tận cùng của 22011
Bài 6 (5 điểm):
Tìm chữ số thập phân thứ 105 sau dấu phẩy của phép chia 17 : 13
Bài 7 (5 điểm):
Tìm số dư của phép chia 2004376 cho 1975
Bài 8 (5 điểm):
Trong mặt phẳng với hệ toạ độ Oxy, cho tam giác ABC có A(1; 0) và hai đường cao có phương trình lần lượt là d1: x - 2y + 1 = 0; d2: 3x + y + 2 = 0. Hãy tính gần đúng chu vi và diện tích tam giác ABC.
Bài 9 (5 điểm):
Qua một điểm nằm trong tam giác kẻ 3 đường thẳng song song với các cạnh của tam giác. Các đường thẳng này chia tam giác thành 6 phần, trong đó có 3 hình bình hành với các diện tích là S1 = 15cm2, S2 = 16cm2, S3 = 21,5642cm2. Tính diện tích của tam giác đã cho.

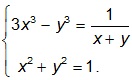
Bài 10 (5 điểm):
Tính gần đúng các nghiệm của hệ phương trình: 
Đề thi giải toán trên máy tính cầm tay lớp 10 môn Sinh học
|
SỞ GIÁO DỤC VÀ ĐÀO TẠO TỈNH THÁI NGUYÊN ĐỀ CHÍNH THỨC |
THI CHỌN HSG GIẢI TOÁN TRÊN MÁY TÍNH CẦM TAY NĂM HỌC 2011 – 2012 Môn: SINH HỌC. Lớp 10. Cấp THPT Ngày thi: 28/3/2012 |
Câu 1 (5 điểm)
Tinh bột là hỗn hợp chuỗi thẳng amilo và chuỗi phân nhánh amilopectin. Biết rằng cứ 25 đơn vị có một nhánh, có 248 nhánh trong tinh bột mỗi nhánh có 3 đơn phân.
a. Xác định số phân tử nước được giải phóng từ liên kết glucozit 1α4
b. Xác định số phân tử nước được giải phóng từ liên kết glucozit 1α6
c. Xác định số đơn phân glucose trong tinh bột.
Câu 2 (5 điểm)
Một gen cấu trúc vùng mã hóa có 4 intrôn, mỗi intrôn đều gồm 144 cặp nuclêôtit. Các đoạn êxôn có kích thước bằng nhau và dài gấp đôi đoạn intrôn. Gen này khi phiên mã đã tạo được 2 phân tử mARN khác nhau. Khi 2 phân tử mARN này dịch mã đòi hỏi môi trường nội bào cung cấp 5748 axit amin.
a. Tính chiều dài vùng mã hóa của gen?
b. Tính số ribôxôm tham gia dịch mã trên mỗi phân tử mARN? Biết rằng số ribôxôm trượt trên mỗi mARN là bằng nhau.
c. Tính thời gian tổng hợp xong các chuỗi pôlipeptit ở mỗi phân tử mARN? Biết rằng thời gian dịch mã 1 axit amin là 0,2 giây, khoảng cách đều giữa các ribôxôm kế tiếp là 127,5 A0.
Câu 3 (10 điểm)
Chiều dài một gen là 510nm. Gen này có tỉ lệ A/G = 2/3.
a. Xác định số chu kì xoắn và số liên kết hiđrô của gen.
b. Nếu mạch 1 của gen có 200A và 500G thì số nuclêôtit từng loại trên mỗi mạch đơn là bao nhiêu?
Câu 4 (10 điểm)
Cho biết thời gian của các kì và các pha trong 1 chu kì tế bào như sau; kì trước 25 phút, kì giữa 15 phút, kì sau 15 phút, kì cuối 30 phút; G1 = 20 phút; S = 30 phút; G2 = 45 phút.
a. Tính thời gian của 1 chu kì tế bào?
b. Giả sử có 1 tế bào đang bước vào đầu pha S. Tính số phân tử ADN và số sợi nhiễm sắc chứa trong các tế bào con khi tế bào đó đã trải qua quá trình nguyên phân liên tiếp với tổng thời gian là 27 giờ 30 phút.
Biết rằng các tế bào con sinh ra đều nguyên phân bình thường và 2n = 8.
Câu 5 (10 điểm)
5 tế bào sinh dục sơ khai nguyên phân liên tiếp nhiều đợt với số lần bằng nhau, môi trường nội bào đã cung cấp nguyên liệu để tạo ra 930 NST đơn. Các tế bào con sinh ra từ lần nguyên phân cuối cùng đều giảm phân tạo giao tử, môi trường nội bào đã cung cấp thêm nguyên liệu để tạo ra 960 NST đơn. Biết rằng hiệu suất thụ tinh của giao tử là 2,5% và đã hình thành nên 16 hợp tử.
a. Xác dịnh bộ NST lưỡng bội của loài.
b. Xác định số lần nguyên phân của mỗi tế bào sinh dục sơ khai.
c. Xác định giới tính của cơ thể.
Câu 6 (10 điểm)
Có 3 học sinh theo dõi sự sinh trưởng của 3 chủng vi khuẩn trong môi trường nuôi cấy giống nhau thu được 3 kết quả được ghi trong bảng số liệu sau đây:
|
STT |
Số vi khuẩn ban đầu |
Giờ nuôi cấy |
Số vi khuẩn thu được |
|
Chủng 1 |
10 |
3 |
327.680 |
|
Chủng 2 |
5 |
4 |
20.480 |
|
Chủng 3 |
13 |
4,5 |
3.407.872 |
Hãy so sánh khả năng sinh trưởng của 3 chủng nêu trên?