Đề thi thử THPT Quốc gia môn Toán năm 2016 trường THPT Thuận Châu, Sơn La (Lần 2)
Đề thi thử THPT Quốc gia năm 2016 môn Toán
Đề thi thử THPT Quốc gia môn Toán năm 2016 trường THPT Thuận Châu, Sơn La (Lần 2) được VnDoc.com sưu tầm và đăng tải, là đề luyện thi THPT Quốc gia, ôn thi Đại học môn Toán hữu ích dành cho các bạn thí sinh. Đề thi có 10 câu hỏi cùng đáp án đi kèm, giúp các bạn kiểm tra lại bài làm của mình một cách hiệu quả.
Đề thi thử THPT Quốc gia môn Toán lần 1 năm 2016 trường THPT Chuyên Vĩnh Phúc
Đề thi thử THPT Quốc gia năm 2016 môn Toán trường THPT Chuyên Nguyễn Huệ, Hà Nội
Đề thi thử THPT Quốc gia năm 2016 môn Toán trường THPT Thanh Chương 1, Nghệ An
|
SỞ GIÁO DỤC VÀ ĐÀO TẠO SƠN LA TRƯỜNG THPT THUẬN CHÂU Đề gồm 01 trang |
KỲ THI THỬ THPT QUỐC GIA 2016 LẦN 2 Môn thi: Toán Thời gian: 180 phút. |
Câu 1 (1,0 điểm). Khảo sát sự biến thiên và vẽ đồ thị hàm số y = x3 − 3x2 + 2
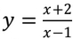
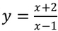
Câu 2 (1,0 điểm). Cho hàm số
có đồ thị (C). Viết phương trình tiếp tuyến với đồ thị (C) tại điểm thuộc C có tung độ bằng 4.
Câu 3 (1,0 điểm).
a) Giải phương trình 2.4x + 6x = 9x
b) Giải bất phương trình log1/3(3x - 2) - log1/3(6 - 5x) < 0
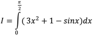
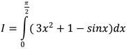
Câu 4 (1,0 điểm). Tính tích phân 
Câu 5 (1,0 điểm). Trong không gian với hệ trục tọa độ Oxyz, cho mặt phẳng P: x − y − 2z − 1 = 0 và hai điểm A (2; 0; 0) ,B (3; −1; 2). Viết phương trình đường thẳng Δ đi qua A và vuông góc với mặt phẳng P. Viết phương trình mặt cầu (S) tâm I thuộc mặt phẳng (P) và đi qua ba điểm A,B và điểm gốc tọa độ O.
Câu 6 (1,0 điểm).
a) Giải phương trình: cosx + sin4x − cos3x = 0
b) Trong đợt thi thử đại học lần 1 năm học 2015 – 2016 do Đoàn trường THPT Thuận Châu tổ chức có 5 em điểm cao nhất và bằng nhau khối A trong đó có 3 nam và 2 nữ, khối B có 5 em điểm cao nhất và bằng nhau trong đó có 1 nam và 4 nữ, khối C có 5 em điểm cao nhất và bằng nhau trong đó có 4 nam và 1 nữ, khối D có 5 em điểm cao nhất và bằng nhau trong đó có 2 nam và 3 nữ. Hỏi có bao nhiêu cách chọn mỗi khối một em để khen thưởng ? Tính xác suất để có cả học sinh nam và học sinh nữ được khen thưởng.
Câu 7 (1,0 điểm). Cho hình chóp S.ABCD có đáy ABCD là hình thoi cạnh a. Mặt bên SAD là tam giác đều nằm trong mặt phẳng vuông góc với đáy, SC = a√6/2. Tính thể tích khối chóp S. ABCD và khoảng cách giữa hai đường thẳng AD, SB theo a.
Câu 8 (1,0 điểm). Trên mặt phẳng tọa độ oxy cho tam giác ABC vuông cân tại A. Gọi M là trung điểm BC, G là trọng tâm tam giác ABM, điểm D(7; −2) là điểm nằm trên đoạn MC sao cho GA = GD. Tìm tọa độ điểm A, lập phương trình AB, biết hoành độ của điểm A nhỏ hơn 4 và AG có phương trình 3x − y − 13 = 0.
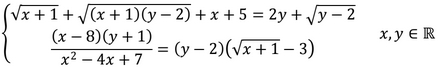
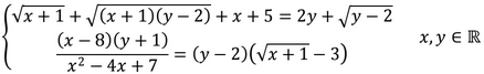
Câu 9 (1,0 điểm). Giải hệ phương trình

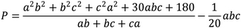
Câu 10 (1,0 điểm). Cho các số thực a, b, c thuộc [4;6] và thỏa mãn điều kiện a + b + c = 15.
Tìm giá trị lớn nhất của biểu thức ![]()
Đáp án đề thi thử THPT Quốc gia 2016 môn Toán
Bộ đề thi thử THPT Quốc gia năm 2016 môn Toán - Số 1
Bộ đề thi thử THPT Quốc gia năm 2016 môn Toán - Số 2
Câu 1:
Tập xác định D = R
Sự biến thiên
- Chiều biến thiên: y′ = 3x2 − 6x = 3x(x − 2)
y′ = 0 ⇔ x = 0; x = 2
Hàm số đồng biến trên (−∞; 0) và (2; +∞)
Hàm số nghịch biến trên (0; 2)
- Cực trị: Hàm số đạt cực đại tại x = 0, yCĐ = 2
Hàm số đạt cực tiểu tại x = 2, yCT = −2
- Giới hạn:
![]()
Bảng biến thiên

Đồ thị
Đồ thị hàm số đi qua điểm A 1; 0

(Còn tiếp)