Giao diện mới của VnDoc Pro: Dễ sử dụng hơn - chỉ tập trung vào lớp bạn quan tâm. Vui lòng chọn lớp mà bạn quan tâm: Lưu và trải nghiệm
Đóng
Điểm danh hàng ngày
  • Hôm nay +3
  • Ngày 2 +3
  • Ngày 3 +3
  • Ngày 4 +3
  • Ngày 5 +3
  • Ngày 6 +3
  • Ngày 7 +5
Bạn đã điểm danh Hôm nay và nhận 3 điểm!
Nhắn tin Zalo VNDOC để nhận tư vấn mua gói Thành viên hoặc tải tài liệu Hotline hỗ trợ: 0936 120 169

Đề thi tuyển sinh lớp 10 THPT chuyên Lê Hồng Phong, TP HCM năm 2012 - 2013

Loại File: PDF
Phân loại: Tài liệu Tính phí

ĐẠI HỌC QUỐC GIA T.P HỒ CHÍ MINH
TRƯỜNG LÊ HỒNG PHONG T.P HỒ CHÍ MINH

ĐỀ THI TUYỂN SINH LỚP 10
NĂM HỌC 2012 - 2013

Môn thi: Toán (chuyên)
Thời gian làm bài: 150 phút (Không kể thời gian giao đề)


Câu 1:

Giải phương trình:

Câu 2:

Cho đa thức f(x) = ax3 + bx2 + cx + d. với a là số nguyên dương, biết: f(5) – f(4) = 2012.

Chứng minh: f(7) – f(2) là hợp số.

Câu 3:

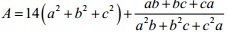
Cho ba số dương a; b và c thỏa a + b + c = 1. Tìm GTNN của:

Câu 4:

Cho tứ giác ABCD nội tiếp (O; R) có AC vuông góc BD tại H. Trên cạnh AB lấy điểm M sao cho: AM = 1/3 AB. Trên cạnh HC lấy trung điểm N. Chứng minh MH vuông góc với DN.

Câu 5:

Cho đường tròn tâm O và đường tròn tâm I cắt nhau tại hai điểm A và B(O và I khác phía đối với A và B). IB cắt (O) tại E: OB cắt (I) tại F. Qua B vẽ MN // EF( M thuộc (O) và N thuộc (I).

a) Chứng minh: Tứ giác OAIE nội tiếp.

b) Chứng minh: AE + AF = MN

Câu 6:

Trên mặt phẳng cho 2013 điểm tùy ý sao cho khi 3 điểm bất kỳ thì tồn tại 2 điểm mà khoảng cách giữa 2 điểm đó luôn bé hơn 1.

Chứng minh rằng tồn tại một đường tròn có bán kính bằng 1 chứa ít nhất 1007 điểm (kể cả biên)

Chọn file muốn tải về:
Đóng Chỉ thành viên VnDoc PRO/PROPLUS tải được nội dung này!
Đóng
79.000 / tháng
Đặc quyền các gói Thành viên
PRO
Phổ biến nhất
PRO+
Tải tài liệu Cao cấp 1 Lớp
30 lượt tải tài liệu
Xem nội dung bài viết
Trải nghiệm Không quảng cáo
Làm bài trắc nghiệm không giới hạn
Mua cả năm Tiết kiệm tới 48%
5
Xác thực tài khoản!

Theo Nghị định 147/2024/ND-CP, bạn cần xác thực tài khoản trước khi sử dụng tính năng này. Chúng tôi sẽ gửi mã xác thực qua SMS hoặc Zalo tới số điện thoại mà bạn nhập dưới đây:

Số điện thoại chưa đúng định dạng!
Số điện thoại này đã được xác thực!
Bạn có thể dùng Sđt này đăng nhập tại đây!
Lỗi gửi SMS, liên hệ Admin
Sắp xếp theo
🖼️

Thư viện Học liệu

Xem thêm
🖼️

Gợi ý cho bạn

Xem thêm