Giao diện mới của VnDoc Pro: Dễ sử dụng hơn - chỉ tập trung vào lớp bạn quan tâm. Vui lòng chọn lớp mà bạn quan tâm: Lưu và trải nghiệm
Đóng
Điểm danh hàng ngày
  • Hôm nay +3
  • Ngày 2 +3
  • Ngày 3 +3
  • Ngày 4 +3
  • Ngày 5 +3
  • Ngày 6 +3
  • Ngày 7 +5
Bạn đã điểm danh Hôm nay và nhận 3 điểm!
Nhắn tin Zalo VNDOC để nhận tư vấn mua gói Thành viên hoặc tải tài liệu Hotline hỗ trợ: 0936 120 169

Đề thi tuyển sinh lớp 10 THPT tỉnh Hậu Giang năm học 2012 - 2013 môn Toán

Lớp: Lớp 10
Loại File: Word
Phân loại: Tài liệu Tính phí

Nhằm giúp các bạn chuẩn bị thật tốt kiến thức đề làm bài thi đạt hiệu quả cao, Vndoc.com xin giới thiệu: Đề thi tuyển sinh lớp 10 THPT tỉnh Hậu Giang năm học 2012 - 2013 môn Toán.

Đề thi tuyển sinh môn Toán:

SỞ GIÁO DỤC VÀ ĐÀO TẠO
HẬU GIANG

ĐỀ THI CHÍNH THỨC

KỲ THI TUYỂN SINH VÀO LỚP 10 THPT
NĂM HỌC 2012 - 2013

MÔN THI: TOÁN
Thời gian làm bài: 120 phút (không kể thời gian giao đề)

Bài 1: (0,5 điểm)

Rút gọn biểu thức:

Bài 2: (1,5 điểm)

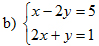
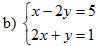
Không sử dụng máy tính cầm tay, hãy giải phương trình và hệ phương trình sau:

a) x2 + x - 20 = 0

Bài 3: (2,0 điểm)

a) Vẽ đồ thị (P) của hàm số: y = -2x2

b) Tìm toạ độ các giao điểm của (P) và đường thẳng (D): y = x – 1 bằng phép tính.

Bài 4: (2,0 điểm)

Cho phương trình x2 - 2(m - 1)x + m - 3 = 0 (m là tham số)

a) Chứng minh phương trình luôn có 2 nghiệm phân biệt.

b) Gọi hai nghiệm của phương trình là x1, x2. Xác định m để giá trị của biểu thức A = x12 + x22 nhỏ nhất

Bài 5: (4,0 điểm)

Cho đường tròn (O; R) và một điểm S ở bên ngoài đường tròn vẽ hai tiếp tuyến SA, SB và đường thẳng a đi qua S cắt đường tròn (O; R) tại M, N với M nằm giữa S và N (đường thẳng a không đi qua tâm O).

a) Chứng minh SO AB

b) Gọi I là trung điểm của MN và H là giao điểm của SO và AB; hai đường thẳng OI và AB cắt nhau tại E. Chứng minh: OI.OE = R2

c) Chứng minh tứ giác SHIE nội tiếp đường tròn

d) Cho SO = 2R và MN = R√3. Tính diện tích tam giác ESM theo R.

Chọn file muốn tải về:
Đóng Chỉ thành viên VnDoc PRO/PROPLUS tải được nội dung này!
Đóng
79.000 / tháng
Đặc quyền các gói Thành viên
PRO
Phổ biến nhất
PRO+
Tải tài liệu Cao cấp 1 Lớp
30 lượt tải tài liệu
Xem nội dung bài viết
Trải nghiệm Không quảng cáo
Làm bài trắc nghiệm không giới hạn
Mua cả năm Tiết kiệm tới 48%
3

Có thể bạn quan tâm

Xác thực tài khoản!

Theo Nghị định 147/2024/ND-CP, bạn cần xác thực tài khoản trước khi sử dụng tính năng này. Chúng tôi sẽ gửi mã xác thực qua SMS hoặc Zalo tới số điện thoại mà bạn nhập dưới đây:

Số điện thoại chưa đúng định dạng!
Số điện thoại này đã được xác thực!
Bạn có thể dùng Sđt này đăng nhập tại đây!
Lỗi gửi SMS, liên hệ Admin
Sắp xếp theo
🖼️

Lớp 10

Xem thêm
🖼️

Gợi ý cho bạn

Xem thêm