Giao diện mới của VnDoc Pro: Dễ sử dụng hơn - chỉ tập trung vào lớp bạn quan tâm. Vui lòng chọn lớp mà bạn quan tâm: Lưu và trải nghiệm
Đóng
Điểm danh hàng ngày
  • Hôm nay +3
  • Ngày 2 +3
  • Ngày 3 +3
  • Ngày 4 +3
  • Ngày 5 +3
  • Ngày 6 +3
  • Ngày 7 +5
Bạn đã điểm danh Hôm nay và nhận 3 điểm!
Nhắn tin Zalo VNDOC để nhận tư vấn mua gói Thành viên hoặc tải tài liệu Hotline hỗ trợ: 0936 120 169

Giải bài tập SGK Công nghệ lớp 8 bài 29: Truyền chuyển động

Lớp: Lớp 8
Môn: Công Nghệ
Dạng tài liệu: Giải bài tập
Phân loại: Tài liệu Tính phí

Giải bài tập SGK Công nghệ lớp 8 bài 29

Giải bài tập SGK Công nghệ lớp 8 bài 29: Truyền chuyển động được VnDoc.com sưu tầm và tổng hợp. Tài liệu sẽ giúp các em hệ thống lại những kiến thức đã học trong bài, định hướng phương pháp giải các bài tập cụ thể. Ngoài ra việc tham khảo tài liệu còn giúp các em rèn luyện và nâng cao kỹ năng giải bài tập.

Bài 29: Truyền chuyển động

Giải bài tập Công Nghệ 8 bài 29: Câu 1 trang 101 SGK

Tại sao máy và thiết bị cần phải truyền chuyển động?

Hướng dẫn trả lời

Cần phải truyền chuyển đông vì các bộ phận của máy thường đặt xa nhau và có tốc độ không giống nhau, song đều được dẫn động từ một chuyển động ban đầu. Do đó, cơ cấu truyền chuyển động có nhiệm vụ truyền và biến đổi tốc độ cho phù hợp với tốc độ của các bộ phận trong máy.

Câu 2 trang 101 SGK Công Nghệ 8

Thông số nào đặc trưng cho các bộ truyền chuyển động quay? Lập công thức tính tỉ số truyền của các bộ chuyển động?

Hướng dẫn trả lời

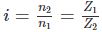
  • Thông số đặc trưng cho các bộ truyền động quay là tỉ số truyền i.
  • Công thức tính tỉ số truyền của các bộ truyền động.

Giải bài tập SGK Công nghệ lớp 8 bài 29: Truyền chuyển động

Câu 3 trang 101 SGK Công Nghệ 8

Cho biết phạm vi ứng dụng của các bộ truyền động?

Hướng dẫn trả lời

Phạm vi ứng dụng là vô hạn, trong tất cả các lĩnh vực.

Ví dụ: đồng hồ, hộp số xe máy, máy gặt, máy xúc...

Câu 4 trang 101 SGK Công Nghệ 8

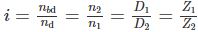
Đĩa xích của xe đạp có 50 răng, đĩa líp có 20 răng. Tính tỉ số truyền i và cho biết chi tiết nào quay nhanh hơn?

Hướng dẫn trả lời

Như công thức ta có:

Giải bài tập SGK Công nghệ lớp 8 bài 29: Truyền chuyển động

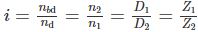
Vậy tỉ số truyền ở đây là:

Giải bài tập SGK Công nghệ lớp 8 bài 29: Truyền chuyển động

Vậy đĩa líp quay nhanh hơn đĩa xích 2,5 lần.

Đóng Chỉ thành viên VnDoc PRO/PROPLUS tải được nội dung này!
Đóng
79.000 / tháng
Đặc quyền các gói Thành viên
PRO
Phổ biến nhất
PRO+
Tải tài liệu Cao cấp 1 Lớp
30 lượt tải tài liệu
Xem nội dung bài viết
Trải nghiệm Không quảng cáo
Làm bài trắc nghiệm không giới hạn
Mua cả năm Tiết kiệm tới 48%

Có thể bạn quan tâm

Xác thực tài khoản!

Theo Nghị định 147/2024/ND-CP, bạn cần xác thực tài khoản trước khi sử dụng tính năng này. Chúng tôi sẽ gửi mã xác thực qua SMS hoặc Zalo tới số điện thoại mà bạn nhập dưới đây:

Số điện thoại chưa đúng định dạng!
Số điện thoại này đã được xác thực!
Bạn có thể dùng Sđt này đăng nhập tại đây!
Lỗi gửi SMS, liên hệ Admin
Sắp xếp theo
🖼️

Giải bài tập Công nghệ 8

Xem thêm
🖼️

Gợi ý cho bạn

Xem thêm