Giải SBT Khoa học tự nhiên 6 bài 39 CTST
VnDoc xin giới thiệu bài Giải SBT Khoa học tự nhiên 6 bài 39: Biến dạng của lò xo phép đo lực có đáp án chi tiết cho từng câu hỏi chương trình sách mới. Thông qua đây các em học sinh đối chiếu với lời giải của mình, hoàn thành bài tập hiệu quả.
Bài: Biến dạng của lò xo phép đo lực
Bài 39.1 trang 117 sách bài tập KHTN 6: Trong các phát biểu sau đây, phát biểu nào đúng?
A. Lực kế là dụng cụ để đo khối lượng.
B. Lực kế là dụng cụ đo trọng lượng.
C. Lực kế là dụng cụ để đo cả trọng lượng và khối lượng
D. Lực kế là dụng cụ để đo lực.
Lời giải:
Lực kế là dụng cụ để đo lực.
Chọn đáp án D.
Bài 39.2 trang 117 sách bài tập KHTN 6: Chiều dài ban đầu của lò xo là 25 cm, khi ta tác dụng lên lò xo một lực thì chiều dài của nó là 27 cm. Cho biết lo xo bị dãn hay bị nén và dãn hay nén một đoạn bao nhiêu.
Lời giải:
Khi ta tác dụng một lực thì chiều dài lò xo lúc sau lớn hơn chiều dài ban đầu.
Do đó lò xo đã bị dãn và dãn một đoạn bằng: 27 – 25 = 2 cm.

Bài 39.3 trang 117 sách bài tập KHTN 6: Hãy thiết kế phương án cân một vật nhỏ chỉ với một lò xo nhẹ và một bộ quả cân.
Lời giải:
Phương án cân một vật nhỏ chỉ với một lò xo nhẹ và một bộ quả cân như sau:
- Bước 1: Móc cố định một đầu của lò xo.
- Bước 2: Treo vật vào đầu kia của lò xo. Đánh dấu vị trí chiều dài lúc sau của lò xo.
- Bước 3: Bỏ vật ra, treo các quả cân phù hợp sao cho lò xo dãn đến vị trí đã đánh dấu trước đó.
=> Khối lượng của vật cần cân bằng khối lượng các quả cân đã treo khi đó.
Bài 39.4 trang 117 sách bài tập KHTN 6: Treo vật nặng vào sợi dây cao su, dưới tác dụng của lực hút Trái Đất tại sao vật không rơi xuống?
Lời giải:
Treo vật nặng vào sợi dây cao su, dưới tác dụng của lực hút Trái Đất vật bị kéo xuống một đoạn rồi dừng lại ở vị trí cân bằng và vật không rơi xuống vì: vật chịu tác dụng lực kéo của dây cao su, có phương thẳng đứng, chiều ngược với chiều lực hút Trái Đất và có độ lớn bằng với độ lớn của trọng lực tại vị trí cân bằng.

Bài 39.5 trang 117 sách bài tập KHTN 6: Hai lò xo có chiều dài ban đầu như nhau. Treo hai vật có cùng khối lượng vào hai lò xo đó. Hỏi độ dãn của hai lò xo đó có như nhau không?
Lời giải:
Độ dãn của lò xo còn phụ thuộc vào tính chất đàn hồi (độ cứng) của mỗi lò xo:
- Nếu độ cứng của chúng giống nhau thì chúng có độ dãn như nhau.
- Nếu độ cứng của chúng khác nhau thì chúng có độ dãn khác nhau.
Bài 39.6 trang 117 sách bài tập KHTN 6: Chiều dài tự nhiên của lò xo là 20 cm. Biết rằng độ dãn của lò xo phụ thuộc vào lực tác dụng được biểu diễn bằng đồ thị dưới đây. Hãy tính độ dài của lò xo khi chịu tác dụng của các lực:
a) 2 N
b) 4 N.
c) 6 N

Lời giải:
a) Khi lực tác dụng là 2 N thì độ dãn của lò xo là 2 cm.
Vậy độ dài của lò xo khi chịu tác dụng của lực 2 N là: 20 + 2 = 22 cm.
b) Khi lực tác dụng là 4 N thì độ dãn của lò xo là 4 cm.
Vậy độ dài của lò xo khi chịu tác dụng của lực 4 N là: 20 + 4 = 24 cm.
c) Khi lực tác dụng là 6 N thì độ dãn của lò xo là 6 cm.
Vậy độ dài của lò xo khi chịu tác dụng của lực 6 N là: 20 + 6 = 26 cm.
Bài 39.7 trang 117 sách bài tập KHTN 6: Em có một lực kế và một lò xo. Hãy tìm cách biến lò xo thành “cân bỏ túi"?
Lời giải:
Các bước để biến lò xo thành “cân bỏ túi" là:
- Bước 1: Móc lần lượt một số vật vào lực kế để xác định trọng lượng của các vật. Từ đó suy ra được khối lượng của các vật đó.
- Bước 2: Tiếp tục treo lần lượt các vật vào lò xo, đánh dấu vạch chia theo khối lượng trên bảng chia độ. Ta được bảng chia độ khối lượng của vật.
Như vậy, ta có thể sử dụng lò xo đó để cân khối lượng của một số vật.
Bài 39.8 trang 118 sách bài tập KHTN 6: Khi treo vật nặng có trọng lượng 1 N, lò xo dãn ra 0,5 cm. Hỏi khi treo vật nặng có trọng lượng 3 N thì lò xo ấy dãn ra bao nhiêu?. Hỏi khi treo vật nặng có trọng lượng 3 N thì lò xo ấy dãn ra bao nhiêu?
Lời giải:
Khi treo vật nặng có trọng lượng 1 N thì lò xo dãn ra 0,5 cm.
=> Khi treo vật nặng có trọng lượng 3 N thì lò xo dãn ra ? cm.
Vậy độ dãn của lò xo khi treo vật nặng có trọng lượng 3 N là: 0,5 x 3 = 1,5 cm.
Bài 39.9 trang 118 sách bài tập KHTN 6: Một lò xo dài thêm 10 cm khi treo vào đầu của nó một vật có trọng lượng 20 N. Tiếp tục treo thêm một vật có trọng lượng 15 N nữa thì lò xo dài bao nhiêu?. Biết chiều dài tự nhiên của lò xo này là 20 cm.
Lời giải:
Khi treo vật nặng có trọng lượng 20 N thì lò xo dãn ra 10 cm.
=> Khi treo vật nặng có trọng lượng (20 + 15 = 35 N) thì lò xo dãn ra ? cm.
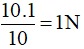
Độ dãn của lò xo khi treo vật nặng có trọng lượng 35 N là: 
Chiều dài của lò xo khi đó là: 20 + 17,5 = 37,5 cm.
Bài 39.10 trang 118 sách bài tập KHTN 6: Một lò xo dài thêm 10 cm khi treo vào đầu lò xo một vật có khối lượng 1 kg. Nếu dùng lò xo này làm lực kế, trên thang chia độ, hai vạch cách nhau 1 cm chỉ thị mấy niutơn (N)?
Lời giải:
Vật có khối lượng 1 kg thì có trọng lượng là 10 N.
Tức là: Khi treo vật nặng có trọng lượng 10 N thì lò xo dãn ra 10 cm.
=> Khi treo vật nặng có trọng lượng ? N thì lò xo dãn ra 1 cm.
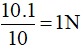
Để lò xo dãn ra 1 cm thì cần treo vật có trọng lượng là:

Vậy, nếu dùng lò xo này làm lực kế, trên thang chia độ, hai vạch cách nhau 1 cm chỉ thị 1 N.
>> Bài tiếp theo: Giải SBT Khoa học tự nhiên 6 bài 40 CTST
Trên đây là toàn bộ lời giải Giải SBT KHTN lớp 6 bài 39: Biến dạng của lò xo phép đo lực sách Chân trời sáng tạo. Các em học sinh tham khảo thêm KHTN lớp 6 Kết nối tri thức và KHTN lớp 6 Cánh Diều. VnDoc liên tục cập nhật lời giải cũng như đáp án sách mới của SGK cũng như SBT các môn cho các bạn cùng tham khảo.