1
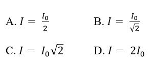
Mối quan hệ giữa cường đọ dòng điệm hiệu dụng với cường độ dòng điện cực đại của dòng điện xoay chiều là

VnDoc gửi đến các bạn tài liệu Câu hỏi trắc nghiệm Vật lý 12 bài 12 nhằm ôn luyện lại kiến thức môn Lý 12 được học trên lớp, đồng thời mở rộng vốn hiểu biết của bản thân thông qua các dạng bài tập Vật lý khác nhau cũng như kiến thức nâng cao.
Đang tải...
Theo Nghị định 147/2024/ND-CP, bạn cần xác thực tài khoản trước khi sử dụng tính năng này. Chúng tôi sẽ gửi mã xác thực qua SMS hoặc Zalo tới số điện thoại mà bạn nhập dưới đây: