Giao diện mới của VnDoc Pro: Dễ sử dụng hơn - chỉ tập trung vào lớp bạn quan tâm. Vui lòng chọn lớp mà bạn quan tâm: Lưu và trải nghiệm
Đóng
Điểm danh hàng ngày
  • Hôm nay +3
  • Ngày 2 +3
  • Ngày 3 +3
  • Ngày 4 +3
  • Ngày 5 +3
  • Ngày 6 +3
  • Ngày 7 +5
Bạn đã điểm danh Hôm nay và nhận 3 điểm!
Nhắn tin Zalo VNDOC để nhận tư vấn mua gói Thành viên hoặc tải tài liệu Hotline hỗ trợ: 0936 120 169

Câu hỏi trắc nghiệm Vật lý 12 bài 13

Đóng
Bạn đã dùng hết 1 lần làm bài Trắc nghiệm miễn phí. Mời bạn mua tài khoản VnDoc PRO để tiếp tục! Tìm hiểu thêm
Mô tả thêm:

Trắc nghiệm Vật lý 12

VnDoc gửi đến các bạn tài liệu Câu hỏi trắc nghiệm Vật lý 12 bài 13 nhằm ôn luyện lại kiến thức môn Lý 12 được học trên lớp, đồng thời mở rộng vốn hiểu biết của bản thân thông qua các dạng bài tập Vật lý khác nhau cũng như kiến thức nâng cao.

  • Số câu hỏi: 10 câu
  • Số điểm tối đa: 10 điểm
Bắt đầu làm bài
Bạn còn 1 lượt làm bài tập miễn phí. Hãy mua tài khoản VnDoc PRO để học không giới hạn nhé! Bạn đã HẾT lượt làm bài tập miễn phí! Hãy mua tài khoản VnDoc PRO để làm Trắc nghiệm không giới hạn và tải tài liệu nhanh nhé!
Mua ngay Đổi điểm
Trước khi làm bài bạn hãy
  • 1 Ôn tập kiến thức đã nêu trong phần Mô tả thêm
  • 2 Tìm không gian và thiết bị phù hợp để tập trung làm bài
  • 3 Chuẩn bị sẵn dụng cụ cần dùng khi làm bài như bút, nháp, máy tính
  • 4 Căn chỉnh thời gian làm từng câu một cách hợp lý
  • Câu 1: Nhận biết

    1

    Trên đoạn mạch xoay chiều tần số 50 Hz chỉ có điện trở thuần

  • Câu 2: Nhận biết

    2

    Cho dòng điện xoay chiều có cường độ tức thời là i = 40sin (100πt + π/6) (mA) qua điện trở R = 50 Hz. Nhiệt lượng tỏa ra trên R trong 2 s đầu là

  • Câu 3: Nhận biết

    3

    Tác dụng cản trở dòng điện của cuộn cảm đối với dòng điện xoay chiều đúng với trường hợp nào nêu dưới đây?

  • Câu 4: Nhận biết

    4

    Để tăng dung kháng của một tụ điện môi là không khí, ta có thể

  • Câu 5: Nhận biết

    5

    Đặt điện áp xoay chiều u = 311cos100πt (V) vào 2 đầu của một cuộn cảm thuần có độ tự cảm L=1/π (H). Cường độ dòng điện hiệu dụng qua cuộn cảm có giá trị bằng

  • Câu 6: Nhận biết

    6

    Cường độ dòng điện chạy qua tụ điện có biểu thức i = 2,5√2 cos100πt (A). Biết tụ điện có điện dung C = 250/π (μF). Điện áp giữa hai bản tụ điện có biểu thức là

    Trắc nghiệm Vật lí 12

  • Câu 7: Nhận biết

    7

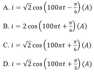
    Một cuộn cảm thuần có độ tự cảm L = 1/π (H). Đặt vào hai đầu cuộn cảm một điện áp xoay chiều u = 100√2 cos ( 100πt + π/3) (V). Cường độ dòng điện trong mạch có biểu thức

    Trắc nghiệm Vật lí 12

  • Câu 8: Nhận biết

    8

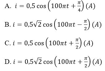
    Một tụ điện có điện dung C = \frac{10^{-4}}{4\pi} (μF) được mắc vào một điện áp xoay chiều có biểu thức là u = 200√2 cos100πt (V). Điện trở dây nối không đáng kể. Biểu thức của dòng điện tức thời qua mạch là

    Trắc nghiệm Vật lí 12

  • Câu 9: Nhận biết

    9

    Cho dòng điện xoay chiều i = 2 cos⁡100πt (A) qua điện trở R = 50 Ω trong thời gian 1 phút. Nhiệt lượng tỏa ra trên điện trở là

  • Câu 10: Nhận biết

    10

    Mắc một cuộn cảm vào một điện áp xoay chiều có tần số f, cuộn cảm có cảm kháng là ZL. Nếu giảm độ tự cảm của cuộn cảm đi một nửa và tần số lên 4 lần thì cảm kháng ZL sẽ

Chúc mừng Bạn đã hoàn thành bài!

Câu hỏi trắc nghiệm Vật lý 12 bài 13 Kết quả
  • Thời gian làm bài: 00:00:00
  • Số câu đã làm: 0
  • Điểm tạm tính: 0
  • Điểm thưởng: 0

Đấu trường Câu hỏi trắc nghiệm Vật lý 12 bài 13

Đang tìm đối thủ...

Đang tải...

Xác thực tài khoản!

Theo Nghị định 147/2024/ND-CP, bạn cần xác thực tài khoản trước khi sử dụng tính năng này. Chúng tôi sẽ gửi mã xác thực qua SMS hoặc Zalo tới số điện thoại mà bạn nhập dưới đây:

Số điện thoại chưa đúng định dạng!
Số điện thoại này đã được xác thực!
Bạn có thể dùng Sđt này đăng nhập tại đây!
Lỗi gửi SMS, liên hệ Admin
Sắp xếp theo