Trắc nghiệm Vật lý 10 chương 2: Chuyển động ném ngang
Trắc nghiệm Vật lý 10 chương 2
VnDoc.com xin giới thiệu tới bạn đọc tài liệu: Trắc nghiệm Vật lý 10 chương 2: Chuyển động ném ngang, với bộ câu hỏi trắc nghiệm kèm theo lời giải chi tiết sẽ giúp các bạn học sinh rèn luyện cách giải bài tập Vật lý 10 hiệu quả. Mời các bạn học sinh và thầy cô tham khảo.
Trắc nghiệm Vật lý 10 chương 2: Lực hấp dẫn - Định luật vạn vật hấp dẫn
Trắc nghiệm Vật lý 10 chương 2: Ba định luật Niu - Tơn
Trắc nghiệm Vật lý 10 chương 2: Lực đàn hồi của lò xo - Định luật húc
Trắc nghiệm Vật lý 10 chương 2: Chuyển động ném ngang
Câu 1: Một vật được ném ngang từ độ cao h so với mặt đất ở nơi có gia tốc rơi tự do g. Thời gian chạm đất của vật là?

Câu 2: Ở nơi có gia tốc rơi tự gio là g, từ độ cao h so với mặt đất, một vật được ném ngang với tốc độ ban đầu v. Tầm bay của vật là?

Câu 3: Viên bi A khối lượng gấp đôi viên bi B. Cùng lúc, từ mái nhà, bi A được thả rơi không vận tốc đầu, bi B được ném theo phương ngang. Bỏ qua sức cản của không khí. Kết luận nào sau đây đúng?
A. Hai viên bi chạm đất cùng lúc
B. Viên bi A chạm đất trước
C. Viên vi B chạm đất trước
D. Chưa đủ thông tin để trả lời.
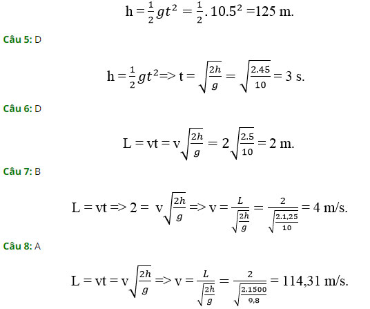
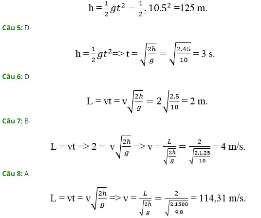
Câu 4: Một vật được ném ngang ở độ cao h so với mặt đất. Bỏ qua sức cản của không khí và lấy g = 10 m/s2. Sau 5s vật chạm đất. Độ cao h bằng?
A. 100 m.
B. 140 m.
C. 125 m.
D. 80 m.
Câu 5: Một vật được ném ngang ở độ cao 45 m so với mặt đất. Bỏ qua sức cản của không khí và lấy g = 10 m/s2. Thời gian vật rơi tới khi chạm đất là?
A. √3 s.
B. 4,5 s.
C. 9 s.
D. 3 s.
Câu 6: Một viên bi được ném theo phương ngang với vận tốc 2 m/s từ độ cao 5 m so với mặt đất. Lấy g = 10 m/s2. Tầm ném xa của viên bi là?
A. 2,82 m.
B. 1 m.
C. 1,41 m.
D. 2 m.
Câu 7: Một viên bi lăn theo cạnh của một mặt bàn nằm ngang cao 1,25 m. Khi ra khỏi mép bàn nó rơi xuống nên nhà, cách mép vàn theo phương ngang 2 m. Lấy g = 10 m/s2. Tốc độ của viên bi khi nó ở mép bàn là?
A. 3 m/s.
B. 4 m/s.
C. 2 m/s.
D. 1 m/s.
Câu 8: Một máy bay trực thăng cứu trợ bay với vận tốc không đổi vo theo phương ngang ở độ cao 1500 m so với mặt đất. Máy bay chỉ có thể tiếp cận được khu vực cách điểm cứu trợ 2 km theo phương ngang. Lấy g = 9,8 m/s2. Để hàng cứu trợ thả từ máy bay tới được điểm càn cứu trợ thì máy bay phải bay với vận tốc bằng?
A. 114,31 m/s.
B. 11, 431 m/s.
C. 228,62 m/s.
D. 22,86 m/s.
Câu 9: Một vật được ném ngang từ độ cao 45 m so với mặt đất ở nơi cố gia tốc rơi tự do g = 10 m/s2 với vận tốc ban đầu 40 m/s. Tôc độ của vật khi chạm đất là?
A. 50 m/s.
B. 70 m/s.
C. 60 m/s.
D. 30 m/s.
Câu 10: Một vật được ném ngang từ độ cao h ở nơi có gia tốc rơi tự do là g = 10 m/s2 với vận tốc ban đầu vo. Biết sau 2s, véctơ vận tốc của vật hợp với phương ngang góc 30o. Tốc độ ban đầu của vật gần nhất giá trị nào sau đây?
A. 40 m/s.
B. 30 m/s.
C. 50 m/s.
D. 60 m/s.
Hướng dẫn giải và đáp án trắc nghiệm Vật lý 10
| Câu | 1 | 2 | 3 | 4 | 5 | 6 | 7 | 8 | 9 | 10 |
| Đáp án | A | D | A | C | D | D | B | A | A | B |
Câu 4: C

