Trắc nghiệm Vật lý 10 chương 2: Lực ma sát
Trắc nghiệm Vật lý 10 chương 2
Trắc nghiệm Vật lý 10 chương 2: Lực ma sát là tài liệu hay dành cho các bạn học sinh lớp 10 tham khảo để học tập hiệu quả hơn môn Vật lý, với bộ câu hỏi trắc nghiệm kèm theo lời giải bài tập vật lý 10 một cách chi tiết chắc chắc các bạn học sinh sẽ có kết quả cao trong học tập.
Trắc nghiệm Vật lý 10 chương 2: Tổng hợp và phân tích lực - Điều kiện cân bằng của chất điểm
Trắc nghiệm Vật lý 10 chương 2: Lực hấp dẫn - Định luật vạn vật hấp dẫn
Trắc nghiệm Vật lý 10 chương 2: Ba định luật Niu - Tơn
Trắc nghiệm Vật lý 10 chương 2: Lực đàn hồi của lò xo - Định luật húc
Trắc nghiệm Vật lý 10 chương 2: Lực ma sát
Câu 1: Một vật trượt trên một mặt phẳng, khi tốc độ của vật tăng thì hệ số ma sát giữa vật và mặt phẳng
A. Không đổi.
B. Giảm xuống.
C. Tăng tỉ lệ với tôc độ của vật.
D. Tăng tỉ lệ bình phương tốc độ của vật.
Câu 2: Lực ma sát trượt
A. Chỉ xuất hiện khi vật đang chuyển động chậm dần.
B. Phụ thuộc vào độ lớn của áp lực
C. Tỉ lệ thuận với vận tốc của vật.
D. Phụ thuộc vào diện tích mặt tiếp xúc
Câu 3: Một vật có trọng lượng N trượt trên một mặt phẳng ngang. Biết hệ số ma sát trượt giữa vật và mặt phẳng là μ. Biểu thức xác định của lực ma sát trượt là?

Câu 4: Một người kéo một thùng hàng chuyển động, lực tác dụng vào người làm người đó chuyển động về phía trước là?
A. Lực của người kéo tác dụng vào mặt đất.
B. Lực của mà thùng hàng tác dụng vào người kéo.
C. Lực của người kéo tác dụng vào thùng hàng.
D. Lực mặt đất tác dụng vào bàn chân người kéo.
Câu 5: Một toa tàu có khối lượng 80 tấn chuyển động thẳng đều dưới tác dụng của lực kéo nằm ngang F = 6.104 N. Lấy g = 10 m/s2. Hệ số ma sát giữa tàu và đường ray là?
A. 0,075.
B. 0,06.
C. 0,02.
D. 0,08.
Câu 6: Một vật có khối lượng 5 tấn đang chuyển động trên đường nằm ngang có hệ số ma sát của xe là 0,2. Lấy g = 10 m/s2. Độ lớn của lực ma sát là?
A. 1000 N.
B. 10000 N.
C. 100 N.
D. 10 N.
Câu 7: Một đầu mát tạo ra lực kéo để kéo một toa xe có khối lượng 5 tấn, chuyển động với gia tốc 0,3 m/s2. Biết lực kéo của động cơ song song với mặt đường và hệ số ma sát giữa tao xe và mặt đường là 0,02. Lấy g = 10 m/s2. Lực kéo của đầu máy tạo ra là?
A. 4000 N.
B. 3200 N.
C. 2500 N.
D. 5000 N.
Câu 8: Một ô tô có khối lượng 1,5 tấn, chuyển động trên đường nằm ngang. Hệ số ma sát của xe là 0,01. Biết lực kéo của động cơ song song với mặt đường. Lấy g = 10 m/s2. Để ô tô chuyển động nhanh dần đều với gia tốc 0,2 m/s2 thì động cơ phải tạo ra lực kéo là?
A. 250 N.
B. 450 N.
C. 500 N.
D. 400 N.
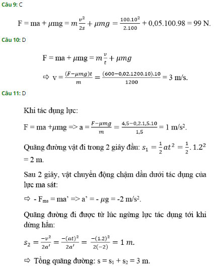
Câu 9: Một vật có khối lượng 100 kg đang đứng yên thì bắt đầu chuyển động nhanh dần đều, sau khi đi được 100 m, vật đạt vận tốc 36 km/h. Biết hệ số ma sát giữa vật và mặt phẳng ngang là 0,05. Lấy g = 10 m/s2. Lực phát động tác dụng vào vật theo phương song song với phương chuyển động của vật có đọ lớn là?
A. 198 N.
B. 45,5 N.
C. 99 N.
D. 316 N.
Câu 10: Một ô tô có khối lượng 1,2 tấn bắt đầu khởi hành từ trạng thái đứng yên nhờ lực kéo của động cơ 600 N. Biết hệ số ma sát của xe là 0,02. Lấy g = 10 m/s2. Biết lực kéo song song với mặt đường. Sau 10 s kể từ lúc khởi hành, tốc độ chuyển động của ô tô là?
A. 24 m/s.
B. 4 m/s.
C. 3,4 m/s.
D. 3 m/s.
Câu 11: Một vật có khối lượng 1500 g được đặt trên một bàn dài nằm ngang. Biết hệ số ma sát giữa vật và mặt bàn là 0,2. Lấy g = 10 m/s2. Tác dụng lên vật một lực có độ lớn 4,5 N theo phương song song với mặt bàn trong khoảng thời gian 2 giây rồi thôi tác dụng. Quãng đường tổng cộng mà vật đi được cho đến khi dừng lại là?
A. 1 m.
B. 4 m.
C. 2 m.
D. 3 m.
Câu 12: Một khúc gỗ khối lượng 2 kg đặt trên sàn nhà. Người ta kéo khúc gỗ bằng một lực F hướng chếch lên và hợ với phương nằm ngang một góc α=30o. Khúc gỗ chuyển động nhanh dần đều với gia tốc 1,0 m/s2 trên sàn. Biết hệ số ma sát trượt giữa gỗ và sàn là 0,2. Lấy g = 10 m/s2. Giá trị của F là?
A. 4,24 N.
B. 4,85 N.
C. 6,21 N.
D. 5,12 N.
Câu 13: Một vật đang chuyển động trên đường nằm ngang với vận tốc 15 m/s thì trượt lên một cái dốc dài 100 m cao 10 m. Biết hệ số ma sát giữa vật và mặt dốc là μ = 0,05. Lấy g = 10 m/s2. Quãng đường dốc vật đi được đến khi dừng hẳn và tốc độ của vật khi nó trở lại chân dốc lần lượt là?
A. 100 m và 8,6 m/s.
B. 75 m và 4,3 m/s.
C. 100 m và 4,3 m/s.
D. 75 m và 8,6 m/s.
Hướng dẫn giải và đáp án trắc nghiệm Vật lý 10
| Câu | 1 | 2 | 3 | 4 | 5 | 6 | 7 | 8 |
| Đáp án | A | B | A | D | A | B | C | B |
| Câu | 9 | 10 | 11 | 12 | 13 | |||
| Đáp án | C | C | C | C | D |



