Bài tập Toán nâng cao lớp 5
Bài tập toán nâng cao lớp 5 - Phần 1
Bài tập toán nâng cao lớp 5 - Phần 1 được VnDoc sưu tầm, chọn lọc giúp các bậc cha mẹ, thầy cô có thêm tài liệu tham khảo. Bài tập toán lớp 5 nâng cao này sẽ giúp các bé ôn tập, tự luyện tập và củng cố lại kiến thức học tập cho các bài kiểm tra, bài thi của con em mình. Sau đây mời các quý thầy cô, các bậc phụ huynh cùng các em học sinh tham khảo và tải về.
Bài 1: Tí có một số bi không quá 80 viên, trong đó số bi đỏ gấp 5 lần số bi xanh. Nếu Tí có thêm 3 viên bi xanh nữa thì số bi đỏ gấp 4 lần số bi xanh. Hỏi lúc đầu Tí có mấy viên bi đỏ, mấy viên bi xanh?
Bài giải:
Bài này có nhiều cách giải khác nhau, xin nêu một cách giải như sau
Ta thấy: Số bi xanh lúc đầu bằng 1/5 số bi đỏ.
Sau khi Tí có thêm 3 viên bi xanh nữa thì số bi xanh lúc đó bằng 1/4 số bi đỏ.
Do đó 3 viên bi ứng với số phần của số bi đỏ là:
![]()
Vậy số bi đỏ của Tí lúc đầu là:
![]()
Số bi xanh của Tí lúc đầu là: 60 : 5 = 12 (viên)
Vậy lúc đầu Tí có 60 viên bi đỏ và 12 viên bi xanh.
Vì 60 + 12 = 72 nên kết quả này thỏa mãn giả thiết về số bi của Tí không có quá 80 viên.
Bài 2: Cho tổng: 1 + 2 + 3 + 4 + 5 + ... + 49 + 50. Liệu có thể liên tục thay hai số bất kì bằng hiệu của chúng cho tới khi được kết quả là 0 hay không?
Bài giải:
Ta đặt A = 1 + 2 + 3 + 4 + 5 + ... + 49 + 50. Dãy số tự nhiên liên tiếp từ 1 đến 50 có 50 số, trong đó số các số lẻ bằng số các số chẵn nên có 50 : 2 = 25 (số lẻ). Vậy A là một số lẻ. Gọi a và b là hai số bất kì của A, khi thay tổng a + b bằng hiệu a - b thì A giảm đi: (a + b) - (a - b) = 2 × b tức là giảm đi một số chẵn. Hiệu của một số lẻ và một số chẵn luôn là một số lẻ nên sau mỗi lần thay, tổng mới vẫn là một số lẻ. Vì vậy không bao giờ nhận được kết quả là 0.
Bài 3: Bác Hà có hai tấm kính hình chữ nhật. Chiều rộng của mỗi tấm kính bằng 1/2 chiều dài của nó và chiều dài của tấm kính nhỏ đúng bằng chiều rộng của tấm kính to. Bác ghép hai tấm kính sát vào nhau và đặt lên bàn có diện tích 90 dm2 thì vừa khít. Hãy tính kích thước của mỗi tấm kính đó.
Bài giải:
Theo đầu bài, coi chiều rộng của tấm kính nhỏ là 1 đoạn thì chiều dài của nó là 2 đoạn như vậy và chiều rộng của tấm kính to cũng là 2 đoạn, khi đó chiều dài của tấm kính to là 4 đoạn như vậy. Nếu bác Hà ghép khít hai tấm kính lại với nhau sẽ được hình chữ nhật ABCD (hình vẽ), trong đó AMND là tấm kính nhỏ, MBCN là tấm kính to. Diện tích ABCD là 90 dm2. Chia hình chữ nhật ABCD thành 10 hình vuông nhỏ, mỗi cạnh là chiều rộng của tấm kính nhỏ thì diện tích của mỗi hình vuông nhỏ là 90: 10 = 9 (dm2).

Ta có 9 = 3 × 3, do đó cạnh hình vuông là 3 dm. Tấm kính nhỏ có chiều rộng 3 dm, chiều dài là 3 × 2 = 6 (dm). Tấm kính to có chiều rộng là 6 dm, chiều dài là 6 × 2 = 12 (dm).
Bài 4: Cho 7 phân số:
![]()
Thăng chọn được hai phân số mà tổng có giá trị lớn nhất. Long chọn hai phân số mà tổng có giá trị nhỏ nhất. Tính tổng 4 số mà Thăng và Long đã chọn.
Bài giải:
![]()
![]()
Vậy ta sắp xếp được các phân số như sau:
![]()
Tổng hai phân số có giá trị lớn nhất là:
![]()
Tổng hai phân số có giá trị nhỏ nhất là:
![]()
Do đó tổng bốn phân số mà Thăng và Long đã chọn là:
![]()
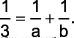
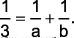
Bài 5: Tìm các chữ số a và b thỏa mãn:
![]()
Bài giải:

Vì 1/3 là phân số tối giản nên a chia hết cho 3 hoặc b chia hết cho 3.
Giả sử a chia hết cho 3, vì 1/a < 1/3 nên a > 3 mà a < 10 do đó a = 6; 9.

Vậy a = b = 6.
Bài 6: Viết liên tiếp các số từ trái sang phải theo cách sau: Số đầu tiên là 1, số thứ hai là 2, số thứ ba là chữ số tận cùng của tổng số thứ nhất và số thứ hai, số thứ tư là chữ số tận cùng của tổng số thứ hai và số thứ ba. Cứ tiếp tục như thế ta được dãy các số như sau: 1235831459437......
Trong dãy trên có xuất hiện số 2005 hay không?
Bài giải:
Giả sử trong số tạo bởi cách viết như trên có xuất hiện nhóm chữ 2005 thì ta có: 2 + 0 là số có chữ số tận cùng là 0 (vô lí).
Vậy trong dãy trên không thể xuất hiện số 2005.
Bài 7: Có 5 đội tham gia dự thi toán đồng đội. Tổng số điểm của cả 5 đội là 144 điểm và thật thú vị là cả 5 đội đều đạt một trong ba giải: nhất (30 điểm); nhì (29 điểm); ba (28 điểm). Chứng minh số đội đạt giải ba hơn số đội đạt giải nhất đúng một đội.
Bài giải:
Ta thấy trung bình cộng điểm của một đội giải nhất và một đội giải ba chính là số điểm của một đội giải nhì.
Nếu số đội đạt giải nhất bằng số đội đạt giải ba thì tổng số điểm của cả 5 đội là: 29 × 5 = 145 (điểm) > 144 điểm, không thỏa mãn.
Nếu số đội giải nhất nhiều hơn số đội giải ba thì tổng điểm 5 đội lớn hơn 145, cũng không thỏa mãn.
Do đó số đội giải nhất phải ít hơn số đội giải ba. Khi đó ta xếp một đội giải nhất và một đội giải ba làm thành một cặp thì cặp này sẽ có tổng số điểm bằng hai đội giải nhì. Số đội giải ba thừa ra (không được xếp cặp với một đội giải nhất) chính là số điểm mà tổng điểm của 5 đội nhỏ hơn 145. Vì vậy số đội giải ba nhiều hơn số đội giải nhất bao nhiêu thì tổng điểm của 5 đội sẽ nhỏ hơn 145 bấy nhiêu.
Vì tổng số điểm của cả 5 đội là 144 điểm nên số đội giải ba nhiều hơn số đội giải nhất là 145 - 144 = 1.
Để học tốt môn Toán lớp 5, mời các bạn tham khảo các chuyên mục: