Toán lớp 5 trang 31, 32: Luyện tập chung chương 1
Giải bài tập trang 31, 32 SGK Toán 5: Luyện tập chung chương 1 tổng hợp 3 bài luyện tập chung giúp các em học sinh ôn tập, hệ thống lại các kiến thức đã học trong phạm vi Toán lớp 5 chương 1. Sau đây mời các bạn cùng tham khảo lời giải tương ứng với từng bài tập Luyện tập chung trong sách giáo khoa.
Bài trước: Toán lớp 5 trang 29, 30: Héc-ta - Luyện tập Héc-ta
Toán lớp 5 trang 31 32
1. Toán lớp 5 trang 31
Hướng dẫn Giải Toán lớp 5 bài 1, 2, 3, 4 trang 31 bài Luyện tập chung 5 (tiết 29). Các em học sinh cùng so sánh đối chiếu sau đây nhé.
Giải Toán lớp 5 trang 31 Bài 1
Để lát nền một căn phòng hình chữ nhật, người ta dùng loại gạch men hình vuông có cạnh 30cm. Hỏi cần bao nhiêu viên gạch để lát kín nền căn phòng đó, biết rằng căn phòng có chiều rộng 6m, chiều dài 9m? (Diện tích phần mạch vữa không đáng kể).
Tóm tắt:
Chiều rộng căn phòng: 6m
Chiều dài căn phòng: 9m
Cạnh viên gạch hình vuông: 30cm
Cần dùng: ..... viên gạch?
- Tính diện tích viên gạch = cạnh × cạnh.
- Tính diện tích căn phòng = chiều dài × chiều rộng.
- Tính số viên gạch cần dùng = diện tích căn phòng : diện tích viên gạch (cùng một đơn vị đo)
Đáp án và hướng dẫn giải bài 1
Diện tích một viên gạch là:
30 × 30 = 900 (cm2)
Diện tích nền căn phòng là:
9 × 6 = 54(m2)
54m2 = 540000cm2
Số viên gạch cần dùng là:
540000 : 900 = 600 (viên)
Đáp số: 600 viên gạch.
>> Tham khảo thêm đáp án: Để lát nền một căn phòng hình chữ nhật ...
Giải Toán lớp 5 trang 31 Bài 2
Một thửa ruộng hình chữ nhật có chiều dài 80m, chiều rộng bằng
\(\frac{1}{2}\) chiều dài.
a) Tính diện tích thửa ruộng đó.
b) Biết rằng, cứ 100m2 thu hoạch được 50kg thóc. Hỏi trên cả thửa ruộng đó người ta thu hoạch được bao nhiêu tạ thóc?
Tóm tắt:
Chiều dài thửa ruộng: 80m
Chiều rộng thửa ruông:
\(\frac{1}{2}\) chiều dài
a) Diện tích thửa ruộng: ..... m2
b) 100m2 : 50kg thóc
Cả thửa ruộng: .... tạ thóc?
- Tính chiều rộng = chiều dài ×
\(\frac{1}{2}\).
- Tính diện tích = chiều dài × chiều rộng.
- Tính diện tích gấp 100m2 bao nhiêu lần.
- Tính số thóc thu được = 50kg × số lần diện tích gấp 100m2.
- Đổi số đo vừa tìm được sang đơn vị đo là tạ, lưu ý rằng 1 tạ = 100kg
Đáp án và hướng dẫn giải bài 2
a) Chiều rộng là:
80 : 2 = 40 (m)
Diện tích thửa ruộng là:
80 × 40 = 3200 (m2)
b) 3200m2 so với 100m2 thì gấp:
3200 : 100 = 32 (lần)
Số thóc thu hoạch được là:
50 x 32 = 1600 (kg) hay 16 tạ
Đáp số: a) 3200m2
b) 16 tạ thóc.
>> Tham khảo thêm cách giải: Một thửa ruộng hình chữ nhật có chiều dài 80m ...
Giải Toán lớp 5 trang 31 Bài 3
Một mảnh đất có hình vẽ trên bản đồ tỉ lệ 1 : 1000 là hình chữ nhật với chiều dài 5cm, chiều rộng 3cm. Tính diện tích mảnh đất đó bằng mét vuông.
- Tính chiều dài thực tế = chiều dài trên bản đồ × 1000, sau đó đổi sang đơn vị mét.
- Tính chiều rộng thực tế = chiều rộng trên bản đồ × 1000, sau đó đổi sang đơn vị mét.
- Diện tích thực tế = chiều dài thực tế × chiều rộng thực tế.
Đáp án và hướng dẫn giải bài 3
Chiều dài thật của mảnh đất là:
5 × 1000 = 5000 (cm) hay 50m
Chiều rộng thật của mảnh đất là:
3 × 1000 = 3000 (cm) hay 30m
Diện tích của mảnh đất đó là:
50 × 30= 1500 (m2)
Đáp số: 1500m2.
>> Tham khảo thêm cách giải: Một mảnh đất có hình vẽ trên bản đồ tỉ lệ 1 : 1000 ...
Giải Toán lớp 5 trang 31 Bài 4
Khoanh vào chữ đặt trước câu trả lời đúng:
Tính diện tích miếng bìa có các kích thước theo hình vẽ dưới đây:

A. 96cm2
B. 192cm2
C. 224cm2
D. 288cm2.
(Xem hình vẽ ở cách giải)
- Diện tích miếng bìa = diện tích hình chữ nhật MNPQ − diện tích hình vuông EGHK.
- Tính diện tích hình chữ nhật MNPQ và diện tích hình vuông EGHK theo các công thức:
Diện tích hình chữ nhật = chiều dài × chiều rộng.
Diện tích hình vuông = cạnh × cạnh.
Đáp án và hướng dẫn giải bài 4:
Suy nghĩ:

Chiều dài hình chữ nhật MNPQ là
8 + 8 + 8 = 24 (cm)
Diện tích hình chữ nhật MNPQ là:
24 × 12 = 288 (cm2)
Diện tích hình vuông EGHK là:
8 × 8 = 64 (cm2)
Diện tích miếng bìa là:
288 – 64 = 224 (cm2)
Khoanh vào C.
Các em học sinh có thể theo dõi lời giải theo cách khác như sau: Toán lớp 5 trang 31 Luyện tập chung.
2. Toán lớp 5 trang 31 32
Giải Toán lớp 5 bài 1, 2 trang 31; bài 3, 4 trang 32 bài Luyện tập chung 6 (tiết 30). Sau đây là lời giải chi tiết cho các em học sinh đối chiếu kết quả.
Giải Toán lớp 5 trang 31 Bài 1
Viết các phân số sau theo thứ tự từ bé đến lớn:
a)
\(\dfrac{32}{35};\dfrac{18}{35};\dfrac{31}{35};\dfrac{28}{35}\)
b)
\(\dfrac{2}{3};\dfrac{3}{4};\dfrac{5}{6};\dfrac{1}{12}\)
So sánh các phân số đã cho rồi sắp xếp theo thứ tự từ bé đến lớn theo các quy tắc:
- Trong hai phân số có cùng mẫu số, phân số nào có tử số lớn hơn thì lớn hơn.
- Muốn so sánh các phân số khác mẫu số ta quy đồng mẫu số các phân số rồi so sánh phân số sau khi quy đồng.
Đáp án và hướng dẫn giải bài 1
a) Ta có:
\(\dfrac{18}{35}<\dfrac{28}{35}<\dfrac{31}{35}<\dfrac{32}{35}\).
Vậy các phân số viết theo thứ tự từ bé đến lớn là:
\(\dfrac{18}{35};\, \dfrac{28}{35};\, \dfrac{31}{35};\, \dfrac{32}{35}\).
b) Quy đồng mẫu số (MSC = 12):
\(\dfrac{2}{3}=\dfrac{8}{12} ; \dfrac{3}{4}=\dfrac{9}{12}\) ;
\(\dfrac{5}{6}=\dfrac{10}{12}\) ; Giữ nguyên
\(\dfrac{1}{12}\)
Ta có:
\(\dfrac{1}{12} < \dfrac{8}{12} < \dfrac{9}{12}< \dfrac{10}{12}\).
Do đó:
\(\dfrac{1}{12}<\dfrac{2}{3}<\dfrac{3}{4}<\dfrac{5}{6}\) .
Vậy các phấn số viết theo thứ tự từ bé đến lớn là:
\(\dfrac{1}{12};\, \dfrac{2}{3};\, \dfrac{3}{4};\, \dfrac{5}{6}\) .
Giải Toán lớp 5 trang 31 Bài 2
Tính:
a)
\(\dfrac{3}{4}+\dfrac{2}{3}+\dfrac{5}{12}\);
b)
\(\dfrac{7}{8}-\dfrac{7}{16}-\dfrac{11}{32}\);
c)
\(\dfrac{3}{5}\times\dfrac{2}{7}\times\dfrac{5}{6}\);
d)
\(\dfrac{15}{16}:\dfrac{3}{8}\times\dfrac{3}{4}\).
Đáp án và hướng dẫn giải bài 2
a)
\(\dfrac{3}{4} + \dfrac{2}{3} + \dfrac{5}{{12}} = \dfrac{9}{{12}} + \dfrac{8}{{12}} + \dfrac{5}{{12}} = \dfrac{{22}}{{12}}= \dfrac{{11}}{6}\);
b)
\(\dfrac{7}{8} - \dfrac{7}{{16}} - \dfrac{{11}}{{32}} = \dfrac{{28}}{{32}} - \dfrac{{14}}{{32}} - \dfrac{{11}}{{32}} = \dfrac{3}{{32}}\);
c)
\(\dfrac{3}{5}\times\dfrac{2}{7}\times \dfrac{5}{6} =\dfrac{3\times2\times5}{5\times7\times6}=\dfrac{3\times2\times5}{5\times7\times2\times 3}=\dfrac{1}{7}\) ;
d)
\(\dfrac{{15}}{{16}}:\dfrac{3}{8} \times \dfrac{3}{4} = \dfrac{{15}}{{16}} \times \dfrac{8}{3} \times \dfrac{3}{4} = \dfrac{{15 \times 8 \times 3}}{{16 \times 3 \times 4}} = \dfrac{{15 \times 8 \times 3}}{{2 \times 8 \times 3 \times 4}} = \dfrac{{15}}{8}\)
Giải Toán lớp 5 trang 32 Bài 3
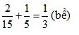
Diện tích một khu nghỉ mát là 5ha, trong đó có diện tích là hồ
\(\frac{3}{10}\) diện tích là hồ nước. Hỏi diện tích hồ nước là bao nhiêu mét vuông?
Tóm tắt:
Diện tích khu nghỉ mát: 5ha
Diện tích hồ nước chiếm:
\(\frac{3}{10}\)
Diện tích hồ nước: ..... m2?
- Đổi 5ha sang đơn vị đo là mét vuông. Lưu ý rằng 1ha = 10000m2
- Diện tích hồ nước = diện tích khu nghỉ mát ×
\(\frac{3}{10}\).
Đáp án và hướng dẫn giải bài 3
5ha = 50 000m2
Diên tích hồ nước là : 50 000 ×
\(\frac{3}{10}\) = 15 000 (m2)
Đáp số: 15 000m2.
>> Tham khảo thêm cách giải: Diện tích một khu nghỉ mát là 5ha ...
Giải Toán lớp 5 trang 32 bài 4
Năm nay tuổi bố gấp 4 lần tuổi con. Tính tuổi của mỗi người, biết bố hơn con 30 tuổi.
Đáp án và hướng dẫn giải bài 4
Ta có sơ đồ:
![]()
Hiệu số phần bằng nhau là:
4 – 1 = 3 (phần)
Tuổi của con là
30 : 3 = 10 (tuổi)
Tuổi của bố là
10 × 4 = 40 (tuổi)
Đáp số: 40 tuối và 10 tuổi.
Để chuẩn bị cho tiết luyện tập chung 7 Tiết 31 các em học sinh tham khảo lời giải cho 4 câu hỏi dưới đây và tham khảo thêm lời giải khác: Toán lớp 5 trang 32: Luyện tập chung
3. Toán lớp 5 trang 32
Giải Toán lớp 5 bài 1, 2, 3, 4 trang 32 bài Luyện tập chung 7 (tiết 31) chi tiết cho từng câu hỏi sau đây.
Giải Toán lớp 5 trang 32 Bài 1
a) 1 gấp bao nhiêu lần
\(\frac{1}{10}\) ?
b)
\(\frac{1}{10}\) gấp bao nhiêu lần
\(\frac{1}{100}\)?
c)
\(\frac{1}{100}\)gấp bao nhiêu lần
\(\frac{1}{1000}\)?
Đáp án và hướng dẫn giải bài 1
a) 1 gấp 10 lần
\(\frac{1}{10}\);
b)
\(\frac{1}{10}\) gấp 10 lần
\(\frac{1}{100}\);
c)
\(\frac{1}{100}\) gấp 10 lần
\(\frac{1}{1000}\)
Giải Toán lớp 5 trang 32 Bài 2
Tìm x:
a)
\(\displaystyle x + \dfrac{2}{5}= \dfrac{1}{2}\);
b)
\(\displaystyle x - \dfrac{2}{5}=\dfrac{2}{7}\);
c)
\(\displaystyle x\times\dfrac{3}{4}= \dfrac{9}{20}\);
d)
\(\displaystyle x : \dfrac{1}{7}=14\).
- Muốn tìm số hạng chưa biết ta lấy tổng trừ đi số hạng đã biết.
- Muốn tìm số bị trừ ta lấy hiệu cộng với số trừ.
- Muốn tìm thừa số chưa biết ta lấy tích chia cho thừa số đã biết.
- Muốn tìm số bị chia ta lấy thương nhân với số chia.
Đáp án và hướng dẫn giải bài 2:
a)
\(\displaystyle x + \dfrac{2}{5}= \dfrac{1}{2}\)
\(\displaystyle x = \dfrac{1}{2}- \dfrac{2}{5}\)
\(\displaystyle x ={5 \over {10}} - {4 \over {10}}\)
\(\displaystyle x= \dfrac{1}{10}\)
b)
\(\displaystyle x - \dfrac{2}{5}= \dfrac{2}{7}\)
\(\displaystyle x = \dfrac{2}{7}+ \dfrac{2}{5}\)
\(\displaystyle x={{10} \over {35}} + {{14} \over {35}}\)
\(\displaystyle x = \dfrac{24}{35}\)
c)
\(\displaystyle x \times \dfrac{3}{4} = \displaystyle \dfrac{9}{20}\)
\(\displaystyle x = \dfrac{9}{20} : \displaystyle \dfrac{3}{4}\)
\(\displaystyle x = {9 \over {20}} \times {4 \over 3}\)
\(\displaystyle x =\dfrac{3}{5}\)
d)
\(\displaystyle x :\dfrac{1}{7}= 14\)
\(\displaystyle x = 14 \times\dfrac{1}{7}\)
x = 2.
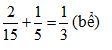
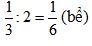
Giải Toán lớp 5 trang 32 Bài 3
Một vòi nước chảy vào bể, giờ đầu chảy vào được
\(\frac{2}{15}\) bể, giờ thứ hai chảy vào được
\(\frac{1}{5}\) bể. Hỏi trung bình mỗi giờ vòi nước đó chảy vào được bao nhiêu phần của bể?
Tóm tắt:
Giờ đầu chảy:
\(\frac{2}{15}\) bể
Giờ thứ hai chảy:
\(\frac{1}{5}\) bể
Trung bình mỗi giờ chảy: .... phần bể?
- Tính tổng số phần bể nước mà vòi nước chảy vào bể trong hai giờ.
- Tìm trung bình mỗi giờ vòi nước đó chảy vào được bao nhiêu phần của bể ta lấy tổng số phần bể nước mà vòi nước chảy vào bể trong hai giờ chia cho 2.
Đáp án và hướng dẫn giải bài 3
Vòi nước chảy trong 2 giờ được :

Trung bình mỗi giờ vòi nước chảy được:
![]()
Đáp số:
\(\frac{1}{6}\) bể
>> Tham khảo thêm cách giải: Một vòi nước chảy vào bể, giờ đầu ...
Giải Toán lớp 5 trang 32 Bài 4
Trước đây mua 5m vải phải trả 60 000 đồng. Hiện nay giá bán mỗi mét vải đã giảm 2000 đồng. Hỏi với 60 000 đổng, hiện nay có thể mua được bao nhiêu mét vải như thế?
Trước đây mua 5m vải
- Tính giá tiền trước đây khi mua 1m vải = giá tiền khi mua 5m vải : 5
- Tính giá tiền hiện nay khi mua 1m vải = giá tiền trước đây khi mua 1m vải - 2000 đồng.
- Tính số mét vải hiện nay có thể mua được ta lấy 60000 đồng chia cho giá tiền hiện nay khi mua 1m vải.
Đáp án và hướng dẫn giải bài 4
Trước đây, giá 1m vải là
60 000 : 5 = 12 000 (đồng)
Hiện nay, giá 1m vải là
12 000 – 2000 = 10 000 (đồng)
Hiện nay với 60 000 đồng có thể mua được
60 000 : 10 000 = 6 (m)
Đáp số: 6m vải.
>> Tham khảo thêm đáp án: Trước đây mua 5m vải phải trả 60 000 đồng ...
Bài tiếp theo: Giải bài tập trang 34, 35, 37 SGK Toán 5: Khái niệm số thập phân
4. Trắc nghiệm Luyện tập chung Chương 1 Toán 5
>> Xem chi tiết: Trắc nghiệm Ôn tập chương 1 Toán lớp 5
5. Bài tập Luyện tập chung Chương 1 Toán 5
Bài tập Luyện tập chung Chương 1 sẽ gướng dẫn các em trả lời các câu hỏi trong bài chi tiết, ngắn gọn giúp các em học sinh ôn tập, hệ thống lại các kiến thức đã học trong phạm vi Toán lớp 5 chương 1. Dưới đây là nội dung chi tiết giải bài tập Toán 5 trong VBT, SGK mà các em cần luyện thêm:
- Toán lớp 5 trang 15 Luyện tập chung
- Vở bài tập Toán lớp 5 bài 30: Luyện tập chung chương 1
- Vở bài tập Toán lớp 5 bài 31: Luyện tập chung chương 1
- Bài tập trắc nghiệm Toán 5 chương 1 - Đề 1
- Bài tập trắc nghiệm Toán 5 chương 1 - Đề 2
- Bài tập trắc nghiệm Toán 5 chương 1 - Đề 3
- 60 câu Trắc nghiệm Toán lớp 5 Chương 1
Toán lớp 5 trang 31 31: Luyện tập chung chương 1 bao gồm 3 phần luyện tập có phương pháp giải và lời giải chi tiết cho từng dạng bài tập cho các em học sinh tham khảo, nắm được cách giải các dạng toán Chương 1: phân số, toán tỉ lệ, số đo diện tích, độ dài,... ôn tập chuẩn bị cho các bài thi giữa và cuối học kì 1 lớp 5.
Ngoài ra, các em học sinh hoặc quý phụ huynh còn có thể tham khảo thêm đề thi học kì 1 lớp 5 và đề thi học kì 2 lớp 5 các môn Toán, Tiếng Việt, Tiếng Anh, Khoa, Sử, Địa theo chuẩn thông tư 22 của bộ Giáo Dục. Những đề thi này được VnDoc.com sưu tầm và chọn lọc từ các trường tiểu học trên cả nước nhằm mang lại cho học sinh lớp 5 những đề ôn thi học kì chất lượng nhất. Mời các em học sinh cùng quý phụ huynh tải miễn phí đề thi về và ôn luyện.
Tham khảo các bài giải môn Toán lớp 5 khác