Vở bài tập Toán lớp 5 bài 141: Ôn tập về phân số (tiếp theo)
Vở bài tập Toán lớp 5 bài 141
Giải vở bài tập Toán 5 bài 141: Ôn tập về phân số (tiếp theo) là lời giải trang 77, 78 Vở bài tập Toán lớp 5 tập 2 có đáp án đầy đủ chi tiết các dạng bài so sánh phân số, quy đồng phân số, rút gọn phân số và so sánh phân số. Mời các em học sinh cùng tham khảo chi tiết.
Giải VBT Toán 5 tập 2 bài 141 Câu 1
Khoanh vào chữ đặt trước câu trả lời đúng:
![]()
Phân số chỉ phần đã tô đậm của băng giấy là:
A.
\(\frac{4}{5}\)
B.
\(\frac{5}{4}\)
C.
\(\frac{4}{9}\)
D.
\(\frac{5}{9}\)
Hướng dẫn giải:
Quan sát hình vẽ, tìm số phần được tô màu và tổng số phần. Phân số chỉ số phần đã tô màu có tử số là số số phần được tô màu và mẫu số là tổng số phần.
Đáp án
Băng giấy được chia làm 9 phần bằng nhau, trong đó có 4 phần được tô màu, từ đó tìm được phân số chỉ số phần đã tô màu là
\(\dfrac {4}{9}\)
Vậy phân số chỉ số phần đã tô màu là
\(\dfrac {4}{9}\)
Giải VBT Toán 5 tập 2 bài 141 Câu 2
Khoanh vào chữ đặt trước câu trả lời đúng:
Có 20 viên bi, trong đó có 3 viên bi nâu, 4 viên bi xanh, 5 viên bi đỏ, 8 viên bi vàng. Như vậy,
\(\dfrac{1}{5}\) số viên bi có màu:
A. Nâu
B. Xanh
C. Đỏ
D. Vàng
Hướng dẫn giải:
Để tìm
\(\dfrac{1}{5}\) số viên bi ta lấy tổng số viên bi nhân với
\(\dfrac{1}{5}\). Từ đó tìm được màu tương ứng của bi.
Đáp án
\(\dfrac{1}{5}\) số viên bi gồm số viên bi là:
\(20 \times \dfrac{1}{5} =4\)(viên bi)
Vậy
\(\dfrac{1}{5}\) số viên bi có màu xanh.
Chọn B.
Giải VBT Toán 5 tập 2 bài 141 Câu 3
Nối
\(\frac{2}{5}\) hoặc
\(\frac{3}{8}\)với từng phân số bằng nó (theo mẫu):

Hướng dẫn giải:
Rút gọn các phân số thành phân số tối giản, từ đó tìm các phân số bằng nhau.
Đáp án
\(\dfrac{6}{8}=\dfrac{6:2}{8:2}=\dfrac{3}{4} ;\)
\(\dfrac{8}{20}=\dfrac{8:4}{20:4}=\dfrac{2}{5} ;\)
\(\dfrac{6}{16}=\dfrac{6:2}{16:2}=\dfrac{3}{8} ;\)
\(\dfrac{12}{32}=\dfrac{12:4}{32:4}=\dfrac{3}{8} ;\)
\(\dfrac{6}{15}=\dfrac{6:3}{15:3}=\dfrac{2}{5} ;\)
\(\dfrac{9}{24}=\dfrac{9:3}{24:3}=\dfrac{3}{8}.\)
Ta nối như sau:

Giải VBT Toán 5 tập 2 bài 141 Câu 4
So sánh các phân số:
a)
\(\displaystyle{5 \over 7} và \displaystyle{4 \over 5}.\)
b)
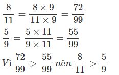
\(\displaystyle{8 \over {11}} và \displaystyle{5 \over 9}.\)
c)
\(\displaystyle{8 \over 9} và \displaystyle{9 \over 8}.\)
Hướng dẫn giải
Sử dụng các phương pháp so sánh phân số như:
- Quy đồng mẫu số hai phân số rồi so sánh.
- So sánh với 1.
Đáp án
a.
Quy đồng mẫu số:

b.

c.
Cách 1:

Cách 2

Giải VBT Toán 5 tập 2 bài 141 Câu 5
Viết các phân số
\(\frac{9}{14} ; \frac{9}{15} ; \frac{3}{4}\)theo thứ tự từ bé đến lớn
Hướng dẫn giải:
Quy đồng tử số rồi so sánh các phân số, sau đó sắp xếp các phân số theo thứ tự từ bé đến lớn.
Đáp án
Ta có:
\(\frac{9}{15}<\frac{9}{14}\) (vì hai phân số nào có cùng tử, phân số nào mẫu lớn hơn thì phân số đó nhỏ hơn).
Nên ta cần so sánh hai phân số
\(\frac{9}{14}\) và
\(\frac{3}{4}\)
MSC: 14 ⨯ 4 = 56

Vậy các phân số đã cho được sắp xếp theo thứ tự từ bé đến lớn là:
\(\displaystyle {9 \over {15}} \;;\; {9 \over {14}} \;;\; {3 \over 4}\) .
>> Bài tiếp theo: Giải VBT Toán lớp 5 bài 142: Ôn tập về số thập phân
Bài tập Ôn tập về phân số
- Bài tập Ôn tập về phân số lớp 5
- Giải Toán lớp 5 VNEN: Ôn tập về phân số
- Giải Toán lớp 5 VNEN bài 98: Ôn tập về phân số
- Toán lớp 5 trang 148, 149: Ôn tập về phân số
Lý thuyết: Ôn tập về phân số
So sánh phân số:
a. Phân số cùng mẫu số:
- Phân số nào có tử số bé hơn thì bé hơn.
- Phân số nào có tử số lớn hơn thì lớn hơn.
- Nếu tử số bằng nhau thì hai phân số đó bằng nhau.
b. Phân số cùng tử số:
- Phân số nào có mẫu số bé hơn thì lớn hơn.
- Phân số nào có mẫu số lớn hơn thì bé hơn.
- Nếu mẫu số bằng nhau thì hai phân số đó bằng nhau.
c. Phân số khác tử số và mẫu số
- Cách 1. Quy đồng mẫu số hai phân số rồi so sánh các tử số của chúng.
- Cách 2. Quy đồng tử số hai phân số rồi so sánh các mẫu số của chúng.
- Cách 3. Chọn số 1 làm trung gian để so sánh.
- Cách 4: Chọn một phân số làm trung gian để so sánh.
- Cách 5: So sánh bằng phần bù
- Cách 6: So sánh bằng phần hơn