Lý thuyết Chia một số thập phân cho một số thập phân
Chia số thập phân
Lý thuyết Chia một số thập phân cho một số thập phân lớp 5 bao gồm chi tiết các dạng Toán chia số thập phân kèm theo cách giải chi tiết và các dạng bài tập tự luyện cho các em học sinh tham khảo, rèn luyện kỹ năng giải Toán 5. Mời các em cùng tìm hiểu chi tiết.
1. Chia một số thập phân cho một số thập phân Toán 5
Quy tắc: Muốn chia một số thập phân cho một số thập phân ta làm như sau:
- Đếm xem có bao nhiêu chữ số ở phần thập phân của số chia thì chuyển dấu phẩy ở số bị chia sang bên phải bấy nhiêu chữ số.
- Bỏ dấu phẩy ở số chia rồi thực hiện phép chia như chia cho số tự nhiên.
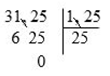
Ví dụ 1: Đặt tính rồi tính:
a) 13,11 : 2,3
b) 31,25 : 1,25
Cách giải:
a) Ta đặt tính rồi làm như sau:

+) Phần thập phân của số 2,3 (số chia) có một chữ số.
+) Dịch chuyển dấu phẩy của số 13,11 sang bên phải một chữ số ta được 131,1; bỏ dấu phẩy ở số 2,3 được 23.
+) Thực hiện phép chia 131,1 : 23.
Vậy 13,11:2,3 = 5,7
b) Ta đặt tính rồi làm như sau:

+) Phần thập phân của số 1,25 (số chia) có hai chữ số.
+) Dịch chuyển dấu phẩy của số 31,25 sang bên phải hai chữ số ta được 3125; bỏ dấu phẩy ở số 1,25 được 125.
+) Thực hiện phép chia 3125 : 125.
Vậy 31,25 : 1,25 = 25
Chú ý: Khi chuyển dấu phẩy sang phải mà không đủ chữ số, ta thấy thiếu bao nhiêu chữ số thì thêm vào đó bấy nhiêu chữ số 0
Ví dụ 2: Một thanh sắt dài 6,2dm cân nặng 23,56 kg. Hỏi 1dm của thanh sắt đó cân nặng bao nhiêu ki-lô-gam?
Ta phải thực hiện phép chia: 23,56 : 62 = ?
Ta có: 23,56 : 6,2 = (23,56 x 10) : (6,2 x 10)
23,56 : 6,2 = 235,6 : 62
Thông thường ta đặt tính rồi làm như sau:

Phần thập phân của số 6,2 có một chữ số.
Chuyển dấu phẩy của số 23,56 sang bên phải một chữ số được 235,6; bỏ dấu phẩy ở số 6,2 được 62.
Thực hiện phép chia 235,6 : 62
Vậy 23,56 : 6,2 = 3,8 (kg)
Ví dụ 3: 82,55 : 1,27 = ?
Ta đặt tính rồi làm như sau:

Phần thập phân của hai số 82,55 và 1,27 cùng có hai chữ số; bỏ dấu phẩy ở hai số đó được 8255 và 127
Thực hiện phép chia 8255 : 127
Muốn chia một số thập phân cho một số thập phân ta làm như sau:
- Đếm xem có bao nhiêu chữ số ở phần thập phân của số chia thì chuyển dấu phẩy ở số bị chia sang bên phải bấy nhiêu chữ số.
- Bỏ dấu phẩy ở số chia rồi thực hiện phép chia như chia số tự nhiên.
2. Chia một số thập phân cho 0,1; 0,01; 0,001; …
Ví dụ: Đặt tính rồi tính:
a) 3,75 : 0,1
b) 12,41 : 0,01
Cách giải

Nhận xét: Nếu chuyển dấu phẩy của số 3,75 sang bên phải một chữ số ta cũng được 37,5.

Nhận xét: Nếu chuyển dấu phẩy của số 12,41 sang bên phải hai chữ số ta cũng được 1241.
Quy tắc: Muốn chia một số thập phân cho 0,1; ,0,01; 0,001;... ta chỉ việc chuyển dấu phẩy của số đó lần lượt sang bên phải một, hai, ba, … chữ số.
Nhận xét: Khi chia một số thập phân cho 0,1; 0,01; 0,001;... ta được kết quả bằng với việc nhân số thập phân đó với 10; ,100; 1000;…
Luyện tập
Bài 1: Đặt tính rồi tính:
|
7,8 : 1,2 |
13,15 : 0,5 |
120,78 : 67,1 |
225,5 : 5,5 |
Bài 2: Tính nhẩm:
|
14,6 : 0,1 = ……… 2,3 : 0,01 = ……… 105,8 : 0,001 = ……… 11,5 : 0,01 = ……… |
86,6: 0,1 = ……… 1,45 : 0,01 = ……… 796,8 : 0,001 = ……… 43,16 : 0,1 = ……… |
Bài 3: Một căn phòng có chiều dài là 14,8m, chiều rộng bằng chiều dài giảm đi 1,6 lần. Tính diện tích của căn phòng đó?
Mời các bạn tải về để xem tiếp nội dung cùng đáp án
Xem thêm: