Lý thuyết Ôn tập so sánh hai phân số
Lý thuyết Ôn tập so sánh hai phân số
Lý thuyết Toán lớp 5: Ôn tập so sánh hai phân số bao gồm chi tiết các dạng Toán có cách giải chi tiết và các dạng bài tập tự luyện cho các em học sinh tham khảo, rèn luyện kỹ năng giải Toán 5, ôn tập chương 1 Toán 5. Mời các em cùng tìm hiểu chi tiết.
1. So sánh hai phân số cùng mẫu số Toán lớp 5
Quy tắc: Trong hai phân số có cùng mẫu số:
+) Phân số nào có tử số bé hơn thì phân số đó bé hơn.
+) Phân số nào có tử số lớn hơn thì phân số đó lớn hơn.
+) Nếu tử số bằng nhau thì hai phân số đó bằng nhau.
Ví dụ:

2. So sánh hai phân số cùng tử số
Quy tắc: Trong hai phân số có cùng tử số:
+) Phân số nào có mẫu số bé hơn thì phân số đó lớn hơn.
+) Phân số nào có mẫu số lớn hơn thì phân số đó bé hơn.
+) Nếu mẫu số bằng nhau thì hai phân số đó bằng nhau.
Ví dụ:

Chú ý: Phần so sánh các phân số cùng tử số, học sinh rất hay bị nhầm, các bạn học sinh nên chú ý nhớ và hiểu đúng quy tắc.
3. So sánh các phân số khác mẫu lớp 5
a) Quy đồng mẫu số
Quy tắc: Muốn so sánh hai phân số khác mẫu số, ta có thể quy đồng mẫu số hai phân số đó rồi so sánh các tử số của hai phân số mới.
Phương pháp giải:
Bước 1: Quy đồng mẫu số hai phân số.
Bước 2: So sánh hai phân số có cùng mẫu số đó.
Bước 3: Rút ra kết luận.
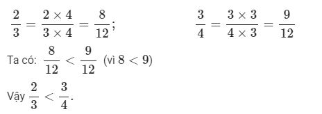
Ví dụ: So sánh hai phân số:

Cách giải:

b) Quy đồng tử số
Điều kiện áp dụng: Khi hai phân số có mẫu số khác nhau nhưng mẫu số rất lớn và tử số nhỏ thì ta nên áp dụng cách quy đồng tử số để việc tính toán trở nên dễ dàng hơn.
Quy tắc: Muốn so sánh hai phân số khác tử số, ta có thể quy đồng tử số hai phân số đó rồi so sánh các mẫu số của hai phân số mới.
Phương pháp giải:
Bước 1: Quy đồng tử số hai phân số.
Bước 2: So sánh hai phân số có cùng tử số đó.
Bước 3: Rút ra kết luận.
Ví dụ: So sánh hai phân số:

Cách giải:
Ta có:

Giải bài tập Ôn tập so sánh hai phân số Toán 5
- Giải bài tập 1, 2, 3, 4 trang 7 SGK Toán 5: Ôn tập so sánh hai phân số
- Giải vở bài tập Toán 5 bài 3: Ôn tập: So sánh hai phân số
- Giải vở bài tập Toán 5 bài 4: Ôn tập: So sánh hai phân số (tiếp theo)
Ngoài Lý thuyết Ôn tập so sánh hai phân số, các em học sinh hoặc quý phụ huynh còn có thể tham khảo thêm đề thi học kì 1 lớp 5 và đề thi học kì 2 lớp 5 các môn Toán, Tiếng Việt, Tiếng Anh theo chuẩn thông tư 22 của bộ Giáo Dục. Những đề thi này được VnDoc.com sưu tầm và chọn lọc từ các trường tiểu học trên cả nước nhằm mang lại cho học sinh lớp 5 những đề ôn thi học kì chất lượng nhất. Mời các em cùng quý phụ huynh tải miễn phí đề thi về và ôn luyện.