Lý thuyết Ôn tập phép nhân và phép chia hai phân số
Lý thuyết Toán lớp 5: Ôn tập phép nhân và phép chia hai phân số bao gồm chi tiết các dạng Toán có cách giải chi tiết và các dạng bài tập tự luyện cho các em học sinh tham khảo, rèn luyện kỹ năng giải Toán 5, ôn tập chương 1 Toán 5. Mời các em cùng tìm hiểu chi tiết.
Lý thuyết Ôn tập phép nhân và phép chia hai phân số
Phép nhân hai phân số và các tính chất của phép nhân hai phân số Toán lớp 5
a) Phép nhân hai phân số
Quy tắc: Muốn nhân hai phân số ta lấy tử số nhân với tử số, mẫu số nhân với mẫu số.

Lưu ý:
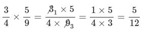
+) Sau khi làm phép nhân hai phân số, nếu thu được phân số chưa tối giản thì ta phải rút gọn thành phân số tối giản.
+) Khi nhân hai phân số, sau bước lấy tử số nhân tử số, mẫu số nhân mẫu số, nếu tử số và mẫu số cùng chia hết cho một số nào đó thì ta rút gọn luôn, không nên nhân lên sau đó lại rút gọn.
Ví dụ quay lại với ví dụ 2 ở bên trên, ta có thể làm như sau:

b) Các tính chất của phép nhân phân số
+) Tính chất giao hoán : Khi đổi chỗ các phân số trong một tích thì tích của chúng không thay đổi.
+) Tính chất kết hợp: Khi nhân một tích hai phân số với phân số thứ ba, ta có thể nhân phân số thứ nhất với tích của hai phân số còn lại.
+ Tính chất phân phối: Khi nhân một tổng hai phân số với phân số thứ ba, ta có thể nhân lần lượt từng phân số của tổng với phân số thứ ba rồi cộng các kết quả đó lại với nhau.
+ Nhân với số 1: Phân số nào nhân với 1 cũng bằng chính phân số đó.
+ Nhân với 0: Phân số nào nhân với 0 cũng bằng 0
Lưu ý: ta thường áp dụng các tính chất của phép nhân phân số trong các bài tính nhanh.
Phép chia hai phân số lớp 5
a) Phân số đảo ngược
Phân số đảo ngược của một phân số là phân số đảo ngược tử số thành mẫu số, mẫu số thành tử số.
Ví dụ: Phân số đảo ngược của phân số
\(\frac{2}{3}\) là phân số
\(\frac{3}{2}\).
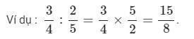
b) Phép chia hai phân số
Quy tắc: Muốn chia một phân số cho một phân số, ta lấy phân số thứ nhất nhân với phân số thứ hai đảo ngược.

3. Một số dạng bài tập
a) Tính giá trị các biểu thức:
Phương pháp giải: Áp dụng các quy tắc tính giá trị biểu thức như ưu tiên tính trong ngoặc trước; biểu thức có phép nhân, chia, cộng, trừ thì ta thực hiện phép tính nhân, chia trước, thực hiện phép cộng trừ sau …
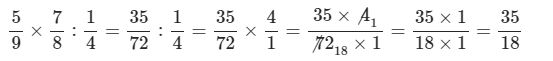
Ví dụ: Tính giá trị biểu thức:

Phương pháp: Biểu thức này chỉ chứa phép nhân và phép chia nên ta tính lần lượt từ trái qua phải.
Cách giải:

b) Tìm x
Phương pháp giải: Xác định xem x đóng vai trò gì, từ đó tìm x theo các quy tắc đã học.

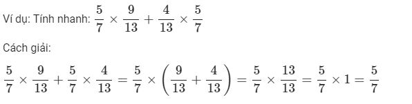
c) Tính nhanh
Phương pháp giải: Áp dụng các tính chất của phép nhân phân số để tính nhanh một cách dễ dàng hơn.

d) Toán có lời văn
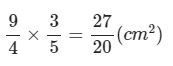
Ví dụ: Một hình bình hành có độ dài đáy là
\(\frac{9}{4}\)cm, chiều cao tương ứng là
\(\frac{3}{5}\)cm. Tính diện tích hình bình hành đó.
Cách giải:
Diện tích hình bình hành đó là:

Đáp số: 27/20 cm2
Giải bài tập Ôn tập Phép nhân và phép chia hai phân số Toán 5
- Giải bài tập 1, 2, 3 trang 11 SGK Toán 5: Ôn tập phép nhân và phép chia hai phân số
- Giải vở bài tập Toán 5 bài 8: Ôn tập phép nhân và phép chia hai phân số
Ngoài Lý thuyết Ôn tập phép nhân và phép chia hai phân số các em học sinh hoặc quý phụ huynh còn có thể tham khảo thêm đề thi học kì 1 lớp 5 và đề thi học kì 2 lớp 5 các môn Toán, Tiếng Việt, Tiếng Anh theo chuẩn thông tư 22 của bộ Giáo Dục. Những đề thi này được VnDoc.com sưu tầm và chọn lọc từ các trường tiểu học trên cả nước nhằm mang lại cho học sinh lớp 5 những đề ôn thi học kì chất lượng nhất. Mời các em cùng quý phụ huynh tải miễn phí đề thi về và ôn luyện.