Vở bài tập Toán lớp 5 bài 91 Diện tích hình thang
Giải vở bài tập Toán 5 bài 91: Diện tích hình thang trang 5 Vở bài tập Toán 5 tập 2 có đáp án chi tiết cho các em học sinh tham khảo nắm được các kiến thức cơ bản về cách tính diện tích hình thang. Vận dụng công thức tính diện tích hình thang vào các bài toán liên quan. Các đáp án bám sát chương trình học, mời các em học sinh tham khảo lời giải chi tiết.
Vở bài tập toán lớp 5 bài 91
Bài tập Toán lớp 5 bài 91 là Hướng dẫn giải vở bài tập Toán lớp 5 tập 1 trang 5. Lời giải bao gồm các bài tập có đáp án chi tiết cho từng câu để các em học sinh so sánh đối chiếu với bài làm của mình. Các bậc Phụ huynh cùng tham khảo hướng dẫn con em học tập ôn luyện, củng cố tại nhà.
Vở bài tập toán lớp 5 tập 2 bài 91 Câu 1
Đánh dấu x vào ô trống đặt dưới hình thang có diện tích bé hơn 50cm2.

Phương pháp giải
Áp dụng công thức tính diện tích hình thang:
S =
\(\displaystyle {{\left( {a + b} \right) \times h} \over 2}\)
trong đó S là diện tích; a, b là độ dài các cạnh đáy; h là chiều cao.
Đáp án
Diện tích hình a là:

Diện tích hình b là:


Vở bài tập toán lớp 5 tập 2 bài 91 Câu 2
Viết số đo thích hợp vào ô trống:
|
Hình thang |
(1) |
(2) |
(3) |
|
Đáy lớn |
2,8m |
1,5m |
1/3 dm |
|
Đáy bé |
1,6m |
0,8m |
1/5 dm |
|
Chiều cao |
0,5m |
5dm |
1/2 dm |
|
Diện tích |
Phương pháp giải
Áp dụng công thức tính diện tích hình thang:
S =
\(\displaystyle {{\left( {a + b} \right) \times h} \over 2}\)
trong đó S là diện tích; a, b là độ dài các cạnh đáy; h là chiều cao.
Quy đổi các số đo về cùng đơn vị và thực hiện tính diện tích các hình.
Đáp án
Diện tích hình thang (1):

5dm = 0,5m
Diện tích hình thang (2):
![]()
Diện tích hình thang (3):
\(\displaystyle S = {{\left( {{1 \over 3} + {1 \over 5}} \right) \times {1 \over 2}} \over 2} = {2 \over {15}}{dm^2}\)
|
Hình thang |
(1) |
(2) |
(3) |
|
Đáy lớn |
2,8m |
1,5m |
1/3 dm |
|
Đáy bé |
1,6m |
0,8m |
1/5 dm |
|
Chiều cao |
0,5m |
5dm |
1/2 dm |
|
Diện tích |
1,1m2 |
0,575m2 |
2/15 dm2 |
Vở bài tập toán lớp 5 tập 2 bài 91 Câu 3
Hình H được tạo bởi một hình tam giác và một hình thang có các kích thước như hình vẽ. Tính diện tích hình H.

Phương pháp giải:
Diện tích hình H = diện tích hình tam giác + diện tích hình thang.
Diện tích hình tam giác = độ dài đáy × chiều cao : 2.
Diện tích hình thang = (đáy lớn + đáy bé) × chiều cao : 2.
Đáp án
Diện tích hình tam giác:
13 x 9 : 2 = 58,5 (cm2)
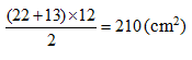
Diện tích hình thang:

Diện tích hình H:
58,5 + 210 = 268,5 (cm2)
Đáp số: 268,5cm2
>> Bài tiếp theo: Giải vở bài tập Toán 5 bài 92: Luyện tập Diện tích hình thang
Lý thuyết Hình thang
a) Cấu trúc

Hình thang ABCD có:
- Cạnh đáy AB và cạnh đáy DC. Cạnh bên AD và cạnh bên BC.
- Hai cạnh đáy là hai cạnh đối diện song song.
Hình thang có một cặp cạnh đối diện song song.
Chú ý: Hình thang có một cạnh bên vuông góc với hai đáy gọi là hình thang vuông.

b) Đường cao của hình thang

c) Diện tích hình thang
Quy tắc: Muốn tính diện tích hình thang, ta tính tổng độ dài hai đáy nhân với chiều cao (cùng một đơn vị đo) rồi chia cho 2.

+ Công thức:
\(S=\frac{\left(a+b\right)\times h}{2}\) hoặc S = (a + b) × h : 2
+ Trong đó:
- S là diện tích hình thang
- a là độ dài đáy nhỏ, b là độ dài đáy lớn
- h là chiều cao của hình thang
Một số dạng bài tập về diện tích hình thang:
- Dạng 1: Tính diện tích hình thang khi biết độ dài 2 đáy và chiều cao.
Áp dụng công thức tính:
\(S=\frac{\left(a+b\right)\times h}{2}\) hoặc: S = (a + b) × h : 2
- Dạng 2: Tính tổng độ dài hai đáy khi biết diện tích và chiều cao của hì
Từ công thức tính diện tích hình thang, ta có công thức tính tổng độ dài 2 đáy như sau:
\(a+b=\frac{S\times2}{h}\) hoặc: a + b = S × 2 : h
- Dạng 3: Tính chiều cao khi biết diện tích và độ dài hai đáy của hình thang
Từ công thức tính diện tích hình thang, ta có công thức tính chiều cao như sau:
\(h=\frac{S\times2}{a+b}\) hoặc: h = S × 2 : (a + b)
- Dạng 4: Giải bài toán có lời văn
Học sinh đọc đề và xác định dạng toán trong bài để giải bài tập đó.
>> Tham khảo chi tiết: Lý thuyết Hình thang. Diện tích hình thang
Ngoài ra, các bạn có thể luyện tập đề thi học kì 1 lớp 5 hay đề thi học kì 2 lớp 5 đạt hiệu quả cao mà VnDoc.com đã sưu tầm và chọn lọc. Hy vọng với những tài liệu này, các em học sinh sẽ học tốt môn Toán lớp 5 hơn mà không cần sách giải.