Lý thuyết Hình thang. Diện tích hình thang
Hình thang. Diện tích hình thang
Lý thuyết Hình thang. Diện tích hình thang lớp 5 bao gồm chi tiết các dạng Toán hình học theo cách giải chi tiết và các dạng bài tập tự luyện cho các em học sinh tham khảo, rèn luyện kỹ năng giải Toán 5, ôn tập chương 3 Toán 5. Mời các em cùng tìm hiểu chi tiết.
1. Hình thang Toán 5
a) Cấu trúc

Hình thang ABCD có:
- Cạnh đáy AB và cạnh đáy DC. Cạnh bên AD và cạnh bên BC.
- Hai cạnh đáy là hai cạnh đối diện song song.
Hình thang có một cặp cạnh đối diện song song.
Chú ý: Hình thang có một cạnh bên vuông góc với hai đáy gọi là hình thang vuông.

b) Đường cao của hình thang

2. Diện tích hình thang
Quy tắc: Diện tích hình thang bằng tổng độ dài hai đáy nhân với chiều cao (cùng một đơn vị đo) rồi chia cho 2.

Ví dụ 1: Tính diện tích hình thang biết độ dài hai đáy lần lượt là 18cm và 14cm; chiều cao là 9cm.
Phương pháp giải: Độ dài hai đáy và chiều cao đã có cùng đơn vị đo nên để tính diện tích ta lấy tổng độ dài hai đáy nhân với chiều cao rồi chia cho 2.
Cách giải:
Diện tích hình thang đó là:

Ví dụ 2: Tính diện tích hình thang biết độ dài hai đáy lần lượt là 4m và 25dm; chiều cao là 32dm.
Phương pháp giải: Độ dài hai đáy và chiều cao chưa cùng đơn vị đo nên ta đổi về cùng đơn vị đó, 4m = 40dm, sau đó để tính diện tích ta lấy tổng độ dài hai đáy nhân với chiều cao rồi chia cho 2.
Cách giải:
Đổi 4m = 40dm
Diện tích hình thang đó là:

3. Một số dạng bài tập diện tích hình thang
Dạng 1: Tính diện tích hình thang khi biết độ dài hai đáy và chiều cao

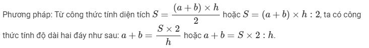
Dạng 2: Tính tổng độ dài hai đáy khi biết diện tích và chiều cao

Lưu ý: Đề bài thường cho hiệu của hai đáy hoặc tỉ số giữa hai đáy và yêu cầu tìm độ dài của mỗi đáy. Học sinh cần nhớ hai dạng toán tổng – hiệu và tổng – tỉ.
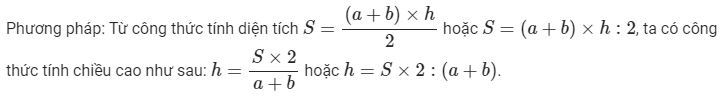
Dạng 3: Tính chiều cao khi biết diện tích và độ dài hai đáy

Dạng 4: Toán có lời văn
Phương pháp: Đọc kĩ đề bài, xác định dạng toán trong bài rồi giải bài toán đó.
4. Bài tập luyện tập Hình thang
- Công thức tính chu vi hình thang
- Công thức tính diện tích hình thang, chu vi hình thang
- 31 Bài Toán về diện tích hình thang
5. Giải bài tập Hình thang. Diện tích hình thang - Toán lớp 5
- Giải bài tập Toán 5 trang 91, 92 SGK: Hình thang
- Giải bài tập Toán 5 trang 93, 94 SGK: Diện tích hình thang
- Giải bài tập Toán 5 trang 94, 95 SGK: Luyện tập chung diện tích hình thang
- Giải vở bài tập Toán 5 bài 91: Diện tích hình thang
- Giải vở bài tập Toán 5 bài 90: Hình thang
- Giải vở bài tập Toán 5 bài 92: Luyện tập Diện tích hình thang