Lý thuyết Hình tam giác. Diện tích hình tam giác
Lý thuyết Toán lớp 5: Hình tam giác. Diện tích hình tam giác
Lý thuyết Hình tam giác. Diện tích hình tam giác lớp 5 bao gồm chi tiết các dạng Toán hình học theo cách giải chi tiết và các dạng bài tập tự luyện cho các em học sinh tham khảo, rèn luyện kỹ năng giải Toán 5, ôn tập chương 3 Toán 5. Mời các em cùng tìm hiểu chi tiết.
1. Hình tam giác Toán 5
a) Cấu trúc
b) Các loại hình tam giác
c) Cách xác định đáy và đường cao của hình tam giác
Chú ý: Trong hình tam giác, độ dài đoạn thẳng từ đỉnh vuông góc với đáy tương ứng gọi là chiều cao của hình tam giác
2. Lý thuyết Toán 5 Diện tích hình tam giác
Quy tắc: Muốn tính diện tích hình tam giác ta lấy độ dài đáy nhân với chiều cao (cùng một đơn vị đo) rồi chia cho 2.
Chú ý: Muốn tính diện tích tam giác vuông ta lấy độ dài hai cạnh góc vuông nhân với nhau (cùng một đơn vị đo) rồi chia cho 2.
Ví dụ 1: Tính diện tích hình tam giác có độ dài đáy là 13cm và chiều cao là 8cm.
Phương pháp giải: Độ dài đáy và chiều cao đã có cùng đơn vị đo nên để tính diện tích ta lấy độ dài đáy nhân với chiều cao rồi chia cho 2.
Cách giải:
Diện tích hình tam giác đó là:
13 x 8 : 2 = 52 cm2
Đáp số: 52cm2.
Ví dụ 2: Tính diện tích hình tam giác có độ dài đáy là 2m và chiều cao là 15dm.
Phương pháp giải: Độ dài đáy và chiều cao chưa cùng đơn vị đo nên ta đổi về cùng đơn vị đo, 2m = 20dm, sau đó tính diện tích ta lấy độ dài đáy nhân với chiều cao rồi chia cho 2
Cách giải:
Đổi 2m = 20dm
Diện tích hình tam giác đó là:
20 x15 : 2 = 150 dm2
Đáp số: 150 dm2
3. Một số dạng bài tập
Dạng 1: Tính diện tích tam giác khi biết độ dài đáy và chiều cao
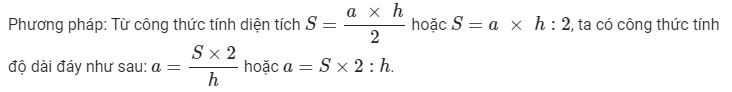
Dạng 2: Tính độ dài đáy khi biết diện tích và chiều cao
Dạng 3: Tính chiều cao khi biết diện tích và độ dài đáy
Dạng 4: Toán có lời văn
Phương pháp: Đọc kĩ đề bài, xác định dạng toán trong bài rồi giải bài toán đó.
4. Bài tập luyện tập Hình tam giác
Bài 1: Điền tên các hình tam giác sau:

Bài 2:

Bài 3: Tính diện tích hình tam giác ABC biết độ dài đáy là 20 cm, chiều cao 12 cm.
Bài 4: Tính diện tích hình tam giác MNP biết độ dài đáy là 36 dm, chiều cao bằng độ dài đáy.
Mời các bạn tải về để xem tiếp nội dung cùng đáp án
----------
Tham khảo:






