Lý thuyết Khái niệm số thập phân
Lý thuyết Toán lớp 5: Khái niệm số thập phân gồm chi tiết các dạng Toán có cách giải chi tiết và các dạng bài tập tự luyện cho các em học sinh tham khảo, rèn luyện kỹ năng giải Toán 5, ôn tập chương 2 Toán 5. Mời các em cùng tìm hiểu chi tiết.
Khái niệm số thập phân lớp 5
Ôn lại phân số thập phân Toán lớp 5
Các phân số có mẫu số là 10;100;1000;... được gọi là các phân số thập phân.
Ví dụ:

là các phân số thập phân.
Khái niệm số thập phân, cấu tạo số thập phân
Khái niệm số thập phân

Các phân số thập phân
được viết thành 0,1; 0,01; 0,001.
0,1 đọc là: không phẩy một; 0,1 = 1/10.
0,01 đọc là: không phẩy không một; 0,01 = 1/100.
0,001 đọc là: không phẩy không không một; 0,001 = 1/1000.
Các số 0,1;0,01;0,001 được gọi là số thập phân.
Tương tự, các phân số thập phân
được viết thành 0,3; 0,05; 0,008.
3/10 = 0,3;
5/100 = 0,05;
8/1000 = 0,008
Các số 0,3; 0,05; 0,008 cũng là số thập phân.

Các số 3,2; 7,16; 0,241 cũng là số thập phân.
Cấu tạo số thập phân
Mỗi số thập phân gồm hai phần: phần nguyên và phần thập phân, chúng được phân cách bởi dấu phẩy.
Những chữ số ở bên trái dấu phẩy thuộc về phần nguyên, những chữ số ở bên phải dấu phẩy thuộc về phần thập phân.
Ví dụ:

Một số dạng bài tập số thập phân lớp 5
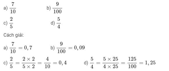
Dạng 1: Chuyển các phân số thành số thập phân
Phương pháp: Nếu phân số đã cho chưa là phân số thập phân thì ta chuyển các phân số thành phân số thập phân rồi chuyển thành số thập phân.
Ví dụ: Chuyển các phân số sau thành số thập phân:

Mẹo: Khi chuyển phân số thập phân thành số thập phân, ta đếm xem mẫu số có bao nhiêu chữ số 0 thì phần thập phân của số thập phân cũng có bấy nhiêu chữ số.
Áp dụng với ví dụ trên:
+) Phân số thập phân 7/10 có 1 chữ số 0 ở mẫu số nên phần thập phân của số thập phân sẽ có 1 chữ số, ta đếm từ phải sang trái, có 7 là một chữ số nên ta đặt dấu phẩy trước số 7, sau đó thêm 0 trước dấu phẩy.
+) Phân số thập phân 9/100 có 2 chữ số 0 ở mẫu số nên phần thập phân của số thập phân sẽ có 2 chữ số, ta đếm từ phải sang trái, có 9 là một chữ số nên ta phải thêm 1 số 0 trước số 9 để có đủ 2 chữ số rồi đặt dấu phẩy trước số 0 vừa thêm, sau đó thêm 0 trước dấu phẩy.
Dạng 2: Viết các số đo độ dài, khối lượng ... dưới dạng số thập phân
Phương pháp:
- Tìm mối liên hệ giữa hai đơn vị đo đã cho.
- Chuyển số đo độ dài đã cho thành phân số thập phân có đơn vị đo lớn hơn
- Chuyển từ số đo độ dài dưới dạng phân số thập phân thành số đo độ dài tương ứng dưới dạng số thập phân có đơn vị lớn hơn.
Ví dụ: Điền phân số thập phân và số thập phân thích hợp vào chỗ trống:
a) 2cm =
\(\frac{2}{10}\)dm = ...dm
b) 7cm = ...m = ...m
Cách giải:
a) 2cm =
\(\frac{2}{10}\)dm = 0,2dm
b) 7cm =
\(\frac{7}{100}\)m = 0,07m
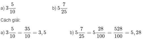
Dạng 3: Viết hỗn số thành số thập phân
Phương pháp: Đổi hỗn số về dạng phân số thập phân, sau đó chuyển thành số thập phân.
Ví dụ: Viết hỗn số sau thành số thập phân:

Dạng 4: Chuyển các số thập phân thành phân số thập phân
Phương pháp:
- Phân số thập phân có mẫu số là 10; 100;1000...
- Nếu phần nguyên của số thập phân bằng 0 thì phân số thập phân có tử số nhỏ hơn mẫu số, nếu phần nguyên lớn hơn 0 thì tử số lớn hơn mẫu số.
- Số thập phân đã cho ở phần thập phân (bên phải dấu phẩy) có bao nhiêu chữ số thì khi chuyển sang phân số thập phân ở mẫu số cũng sẽ có bấy nhiêu chữ số 0.
Ví dụ: Chuyển các số thập phân sau thành phân số thập phân: 0,2;0,09;13,281.
Cách giải:

Một số bài tập vận dụng:
Bài 1: Đọc các số thập phân sau:
0,9 ; 4,5 ; 15,23 ; 10,105 ; 204,99
Bài 2: Viết các số thập phân sau:
- Không phẩy sáu
- Năm phẩy ba
- Ba mươi chín phẩy hai mươi sáu
- Một trăm linh năm phẩy không không tám
Bài 3: Viết các số thập phân thich hợp vào chỗ trống:
a)
\(\frac{5}{10}=\)
b)
\(\frac{9}{100}=\)
c)
\(\frac{7}{1000}=\)
d) 3 cm =
e) 9 mm = ... cm = ... dm
g) 1 m = ... km
-----------
Tham khảo thêm: