Vở bài tập Toán lớp 5 bài 150: Phép cộng
Vở bài tập Toán lớp 5 bài 150
Giải vở bài tập Toán 5 bài 150: Phép cộng là lời giải trang 89, 90 Vở bài tập Toán 5 tập 2 có đáp án chi tiết cho các em học sinh ôn tập, luyện tập các dạng bài phép cộng phân số, số thập phân, các bài toán liên quan đến phép cộng. Mời các em học sinh cùng tham khảo.
Vở bài tập Toán lớp 5 tập 2 bài 150 Câu 1
Tính:

b.
\(\displaystyle{4 \over {11}} + {5 \over {11}}\)
\(\displaystyle{2 \over 3} + {4 \over 5}\)
\(\displaystyle{5 \over 7} + {9 \over {14}}\)
\(\displaystyle2 + {5 \over 8}\)
Phương pháp giải:
- Muốn cộng hai số tự nhiên ta đặt tính sao cho các chữ số ở cùng một hàng thì thẳng cột với nhau, sau đó cộng theo thứ tự từ phải sang trái.
- Muốn cộng hai số thập phân ta làm như sau :
+ Viết số hạng này dưới số hạng kia làm sao cho các chữ số ở cùng một hàng đặt thẳng cột với nhau.
+ Cộng như cộng các số tự nhiên.
+ Viết dấu phẩy ở tổng thẳng cột với các dấu phẩy của các số hạng.
- Muốn cộng hai phân số khác mẫu số ta quy đồng mẫu số hai phân số rồi cộng hai phân số sau khi quy đồng.
Đáp án
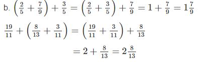
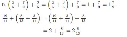
a.
Đặt tính như sau

b.
\(\displaystyle{4 \over {11}} + {5 \over {11}} = {9 \over {11}}\)
\(\displaystyle{2 \over 3} + {4 \over 5} = {{10} \over {15}} + {{ 12} \over {15}} = {{22} \over {15}}\)
\(\displaystyle{5 \over 7} + {9 \over {14}} = {{10} \over {14}} + {9 \over {14}}= {{19} \over {14}}\)
\(\displaystyle 2 + {5 \over 8} ={{2} \over 1} + {5 \over 8}= {{16} \over 8} + {5 \over 8}= {{21} \over 8}\)
Vở bài tập Toán lớp 5 tập 2 bài 150 Câu 2
Tính bằng cách thuận tiện nhất:
a. (976 + 865) + 135 =
891 + (799 + 109) =
b.

c. 16,88 + 9,76 + 3,12 =
72,84 + 17,16 + 82,84 =
Phương pháp giải:
Áp dụng tính chất giao hoán và kết hợp của phép cộng để nhóm các số có tổng là số tròn trăm, tròn nghìn ... hoặc nhóm các phân số, số thập phân có tổng là số tự nhiên.
Đáp án
a.(976 + 865) + 135 = 976 + (865+135)
= 976 + 1000 = 1976
891 + (799 + 109) = (891 + 109) + 799
= 1000 + 799 = 1799

c. 16,88 + 9,76 + 3,12
= (16,88 + 3,12) + 9,76
= 20 + 9,76
= 29,76
72,84 + 17,16 + 82,84
= 72,84 + (17,16 + 82,84)
= 72,84 + 100
= 172,84
Vở bài tập Toán lớp 5 tập 2 bài 150 Câu 3
Không thực hiện phép tính, nêu dự đoán kết quả tìm x:
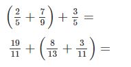
a. X + 8,75 = 8,75
![]()
Phương pháp giải:
- Áp dụng tính chất: Số 0 cộng với số nào cũng bằng chính số đó.
- Áp dụng tính chất cơ bản của phân số.
Đáp án
a. X + 8,75 = 8,75 ; x= 0 vì 0 + 8,75 = 8,75
b)
\(\displaystyle{3 \over 4} + x = {{12} \over {16}};\;x = 0\)
vì
\(\displaystyle {{12} \over {16}} =\displaystyle {{12:4} \over {16:4}} = {3 \over 4}\)và
\(\displaystyle{3 \over 4} + 0 = {3 \over 4}.\)
Vở bài tập Toán lớp 5 tập 2 bài 150 Câu 4
Vòi nước thứ nhất mỗi giờ chảy được
\(\frac{1}{4}\) thể tích của bể, vòi thứ hai mỗi giờ chảy được
\(\frac{1}{5}\) thể tích của bể. Hỏi cả hai vòi nước cùng chảy vào bể trong một giờ thì được bao nhiêu phần trăm thể tích của bể?
Phương pháp giải:
- Tính số phần thể tích của bể mà hai vòi chảy được trong 1 giờ, tức là thực hiện tính
\(\dfrac{1}{4}+\dfrac{1}{5}\)
- Đổi kết quả vừa tìm được dưới dạng tỉ số phần trăm.
Tóm tắt
Vòi I chảy:
\(\frac{1}{4}\) bể
Vòi II chảy:
\(\frac{1}{5}\)bể
Sau 1 giờ cả hai vòi chảy: … ? % bể
Bài giải
Một giờ cả hai vòi cùng chảy được:
\(\dfrac{1}{4}+\dfrac{1}{5} = \dfrac{9}{20}\) (thể tích của bể)
\(\dfrac{9}{20}= \dfrac{45}{100}= 45\%\)
Đáp số: 45% thể tích bể
>> Bài tiếp theo: Giải vở bài tập Toán 5 bài 150: Phép trừ
Bài tập về phép cộng
- Giải Toán lớp 5 trang 158, 159: Ôn tập về Phép cộng
- Giải Toán lớp 5 VNEN bài 104: Ôn tập về phép cộng, phép trừ
- Bài tập Phép cộng số thập phân Toán lớp 5
- Bài tập Toán lớp 5: Phép cộng và phép trừ hai phân số
Luyện tập: Phép cộng lớp 5
Bài 1: Tính
1 736 250 + 342 153
2 850 356 + 3 125 073
31,28 + 25,16
47,5 + 53,19
\(\frac{12}{13}+\frac{5}{26}\)
\(\frac{21}{35}+\frac{9}{5}\)
Bài 2: Cuộn dây thứ nhất dài 17,4m. Cuộn dây thứ hai dài 126dm. Hỏi cả hai cuộn dây dài bao nhiêu mét?
Bài 3: Một trang trại nuôi 2 đàn bò sữa. Đàn bò sữa thứ nhất cho thu hoạch được 24,15 lít sữa. Đàn bò sữa thứ hai cho thu hoạch được ít hơn đàn bò sữa thứ nhất 8 lít sữa. Hỏi cả 2 đàn bò sữa cho thu hoạch được bao nhiêu lít sữa?
Đáp án:
Bài 1:
1 736 250 + 342 153 = 2 078 403
2 850 356 + 3 125 073 = 5 975 429
31,28 + 25,16 = 56,44
47,5 + 53,19 = 100,69
\(\frac{12}{13}+\frac{5}{26}=\frac{24}{26}+\frac{5}{26}=\frac{24+5}{26}=\frac{29}{26}\)
\(\frac{21}{35}+\frac{9}{5}=\frac{21}{35}+\frac{63}{35}=\frac{21+63}{35}=\frac{84}{35}=\frac{12}{5}\)
Bài 2:
Đổi 126dm = 12,6m
Cả 2 cuộn dây dài là:
17,4 + 12,6 = 30 (m)
Đáp số: 30m
Bài 3:
Đàn bò sữa thứ 2 cho thu hoạch được là:
24,5 - 8 = 16,5 (lít)
Cả 2 đàn bò cho thu hoạch được là:
24,5 + 16,5 = 41 (lít)
Đáp số: 41 lít sữa
Trắc nghiệm về phép cộng
Ngoài các dạng bài tập SGK Toán lớp 5, các em học sinh lớp 5 còn có thể tham khảo lời giải toàn bộ Vở bài tập Toán lớp 5; Bài tập Toán lớp 5; Trắc nghiệm Toán lớp 5.