Vở bài tập Toán lớp 5 bài 92 Luyện tập Diện tích hình thang
Giải vở bài tập Toán lớp 5 bài 92: Luyện tập Diện tích hình thang trang 6, 7 Vở bài tập Toán 5 tập 2 có đáp án chi tiết cho các em học sinh ôn tập cách tính diện tích hình thang. Vận dụng công thức tính diện tích hình thang vào các bài toán liên quan. Các đáp án sau đây, bám sát chương trình học, các em học sinh cùng tham khảo chi tiết.
Vở bài tập Toán lớp 5 bài 92
Bài tập Toán lớp 5 bài 92 là Hướng dẫn giải vở bài tập Toán lớp 5 tập 2 trang 6, 7. Lời giải bao gồm các câu hỏi có đáp án chi tiết cho từng câu để các em học sinh so sánh đối chiếu với bài làm của mình. Các bậc Phụ huynh cùng tham khảo hướng dẫn con em học tập ôn luyện, củng cố tại nhà.
Vở bài tập Toán lớp 5 tập 2 bài 92 Câu 1
Viết số đo thích hợp vào ô trống:
|
Hình thang |
|||
|
Đáy bé |
Đáy lớn |
Chiều cao |
Diện tích |
|
15 cm |
10 cm |
12 cm |
|
|
|
|
|
|
|
1,8dm |
1,2dm |
0,6dm |
|
Phương pháp giải:
Diện tích hình thang bằng tổng độ dài hai đáy nhân với chiều cao (cùng một đơn vị đo) rồi chia cho 2.
Đáp án
Diện tích hình thang ô trống thứ nhất:

Diện tích hình thang ô trống thứ hai:

Diện tích hình thang ô trống thứ ba:

Ta có bảng sau
|
Hình thang |
|||
|
Đáy bé |
Đáy lớn |
Chiều cao |
Diện tích |
|
15 cm |
10 cm |
12 cm |
150 cm2 |
|
|
|
|
|
|
1,8dm |
1,2dm |
0,6dm |
0,93dm2 |
Vở bài tập Toán lớp 5 tập 2 bài 92 Câu 2
a. Một hình thang có diện tích 20m2, đáy lớn 55dm và đáy bé 45dm. Tính chiều cao của hình thang.
b. Tính trung bình cộng hai đáy của một hình thang, biết rằng diện tích hình thang bằng 7m2 và chiều cao bằng 2m.
Phương pháp giải:
Gọi đáy lớn, đáy nhỏ, chiều cao, diện tích của hình thang lần lượt là: a; b; h; S.
\(\displaystyle S = {{a + b} \over 2} \times h \Rightarrow h = S × 2 :(a+b)\;;\)
và
\(\displaystyle {{a + b} \over 2}\) = S : h
Đáp án
a. 20m2 = 2000dm2
Chiều cao hình thang:
2000 x 2 : (55 + 45) = 40 (dm)
b. Trung bình cộng hai đáy hình thang thì bằng diện tích hình thang chia cho chiều cao:

Đáp số: a. 40dm; b. 3,5m
Vở bài tập Toán lớp 5 tập 2 bài 92 Câu 3
Một thửa ruộng hình thang có đáy bé 26m, đáy lớn hơn đáy bé 8m, đáy bé hơn chiều cao 6m. Trung bình cứ 100m2 thu hoạch được 70,5kg thóc. Hỏi thu hoạch được bao nhiêu ki-lô-gam thóc trên thửa ruộng đó?
Phương pháp giải:
- Tính độ dài đáy bé ta lấy độ dài đáy bé cộng với 8m.
- Tính chiều cao ta lấy độ dài đáy bé trừ đi 5m.
- Tính diện tích thửa ruộng ta lấy tổng độ dài hai đáy nhân với chiều cao rồi chia cho 2.
- Tìm tỉ số giữa diện tích và 100m2.
- Tính số thóc thu được: diện tích gấp 100m2 bao nhiêu lần thì số thóc thu được gấp 70,5kg bấy nhiêu lần.
Đáp án
Đáy lớn của thửa ruộng hình thang là:
26 + 8 = 34 (m)
Chiều cao của thửa ruộng hình thang là:
26 – 6 = 20 (m)
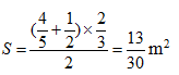
Diện tích thửa ruộng hình thang là:
![]()
600m2 gấp 6 lần 100m2
Số ki-lô-gam thóc thu hoạch được trên thửa ruộng đó:
6 ⨯ 70,5 = 423 (kg)
Đáp số: 423kg
Vở bài tập Toán lớp 5 tập 2 bài 92 Câu 4
Viết số thích hợp vào chỗ chấm.
Cho hình chữ nhật ABCD có các kích thước như hình vẽ bên:

Diện tích phần đã tô đậm của hình chữ nhật là………… cm2
Phương pháp giải:
Phần tô đậm là hình tam giác có chiều cao bằng chiều rộng của hình chữ nhật và độ dài đáy bằng 8 – (2 + 2) = 4cm.
Diện tích hình tam giác = độ dài đáy × chiều cao : 2.
Đáp án
Bài giải
Chiều cao của tam giác bằng chiều rộng hình chữ nhật là 4cm.
Cạnh đáy của tam giác:
8 – (2 + 2) = 4 (cm)
Diện tích phần tô đậm là:
4 ⨯ 4 : 2 = 8 (cm2)
Đáp số: 8cm2
Lưu ý: Có thể tính diện tích phần tô đậm bằng cách lấy diện tích hình chữ nhật trừ đi diện tích 2 hình thang ở hai bên.
>> Bài tiếp theo: Giải vở bài tập Toán 5 bài 93: Luyện tập chung
Lý thuyết: Diện tích hình thang
Quy tắc: Muốn tính diện tích hình thang, ta tính tổng độ dài đáy lớn và đáy nhỏ rồi nhân với chiều cao (cùng đơn vị đo) rồi chia cho 2

Công thức:
\(S=\frac{\left(a+b\right)\times h}{2}\) hoặc S = (a + b) ⨯ h : 2
Trong đó:
- S là diện tích hình thang
- a là đáy lớn, b là đáy nhỏ của hình thang
- h là chiều cao của hình thang
Ví dụ: Tính diện tích hình thang có độ dài hai đáy lần lượt là 15cm và 19cm, chiều cao là 9cm
Cách giải: Áp dụng quy tắc tính diện tích hình thang
Bài giải:
Diện tích của hình thang đó là:
\(\frac{\left(15+19\right)\times9}{2}\) = 153 (cm2)
Hoặc: (15 +19) ⨯ 9 : 2 =153 (cm2)
Đáp số: 153cm2
>> Xem đầy đủ Lý thuyết: Hình thang. Diện tích hình thang
.........
Ngoài ra, các bạn có thể luyện tập các dạng bài tập SGK tương ứng: Toán lớp 5 trang 94, 95 Luyện tập chung diện tích hình thang và chuẩn bị ôn thi hiệu quả đề thi học kì 1 lớp 5 hay đề thi học kì 2 đạt hiệu quả cao mà VnDoc.com đã sưu tầm và chọn lọc. Hy vọng với những tài liệu này, các em học sinh sẽ học tốt môn Toán lớp 5 hơn mà không cần sách giải.