Toán lớp 5 VNEN bài 59: Diện tích Hình thang
Giải Toán lớp 5 VNEN bài 59: Diện tích Hình thang - Sách VNEN Toán 5 tập 2 trang 6 bao gồm chi tiết lời giải cho từng bài tập giúp các em học sinh củng cố, rèn kỹ năng giải Toán Chương 3 lớp 5. Mời các em học sinh tham khảo lời giải hay sau đây.
Toán 5 VNEN Bài 59: Diện tích Hình thang trang 6 - 9
A. Hoạt động cơ bản bài 59 Toán VNEN lớp 5
1. a. Chơi trò chơi "cắt, ghép hình" (sgk)
b. Nhận xét về diện tích ban đầu và điện tích hình tam giác vừa ghép được?
Trả lời:
Quan sát em thấy, diện tích ban đầu và điện tích hình tam giác vừa ghép được bằng nhau.
2. Đọc kĩ nội dung sau và nghe thầy cô hướng dẫn (Sgk trang 7)
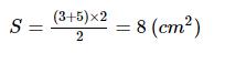
3. a. Nói cho bạn nghe cách tính diện tích hình thang rồi viết công thức tính vào vở.
b. Tính diện tích mỗi hình thang sau rồi chia sẻ với bạn:

Trả lời:
a. Công thức tính diện tích hình thang là:
Diện tích hình thang bằng tổng độ dài hai đáy nhân với chiều cao (cùng một đơn vị đo) rồi chia cho 2

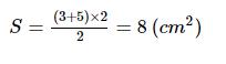
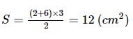
b. Tính diện tích mỗi hình:
Diện tích hình 1:

Diện tích hình 2

B. Hoạt động thực hành bài 59 Toán VNEN lớp 5
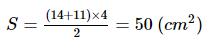
Câu 1 trang 8 sách VNEN toán 5
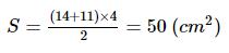
Tính diện tích hình thang, biết:
a. Độ dài hai đáy lần lượt là 14cm và 11cm; chiều cao là 4cm
b. Độ dài hai đáy lần lượt là 8,7m và 6,3m; chiều cao là 5,7m
Đáp án
a. Diện tích hình thang là:
![]()
Đáp số: 50 (cm2)
b. Diện tích hình thang là:
![]()
Đáp số: 42,75 (cm2)
Câu 2 trang 8 sách VNEN toán 5
Tính diện tích hình thang có độ dài đáy lần lượt là a và b, chiều cao h:
a. a=18cm; b= 12cm; h=9cm
b. a=3/4m; b= 1/2m; h=5/8m
a. a=3,4dm; b= 5,8dm; h=0,5dm
Đáp án
a. a = 18cm; b = 12cm; h = 9cm
- Diện tích hình thang là:
S = (18+18) x 92 = 135 (cm2)
b. a =
\(\frac{3}{4}\)m; b =
\(\frac{1}{2}\)m; h =
\(\frac{5}{8}\)m
- Đổi
\(\frac{3}{4}\) = 0, 75;
\(\frac{1}{2}\) = 0, 5;
\(\frac{5}{8}\) = 0, 625
- Diện tích hình thang là:
S =
\(\frac{(0,75 + 0,5) \times 0,625 }{2}\) = 0, 3875 (m2)
c. a = 3,4dm; b = 5,8dm; h = 0,5dm
- Diện tích hình thang là:
S =
\(\frac{(3,4 + 5,8) \times 0,5 }{2}\) = 2,3 (dm2)
Câu 3 trang 8 sách VNEN toán 5
Giải bài toán sau: Một mảnh vườn hình thang có độ dài hay đáy lần lượt là 12m và 8,4m. Chiều cao bằng trung bình cộng của hai đáy. Tính diện tích mảnh vườn đó
Đáp án
Chiều cao của mảnh vườn hình thang là:
(12 + 8,4) : 2= 10,2 (m)
Vậy diện tích mảnh vườn hình thang là:
![]()
Đáp số: 104,04 (m2)
Câu 4 trang 8 sách VNEN toán 5
Đúng ghi Đ, sai ghi S?
|
|
Diện tích các hình thang AMCD, MNCD, NBCD bằng nhau |
|
|
Diện tích hình thang AMCD bằng 1/3 diện tích hình chữ nhật ABCD |

Đáp án
|
Đ |
Diện tích các hình thang AMCD, MNCD, NBCD bằng nhau |
|
S |
Diện tích hình thang AMCD bằng 1/3 diện tích hình chữ nhật ABCD |
C. Hoạt động ứng dụng bài 59 Toán lớp 5 VNEN
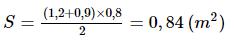
Câu 1 trang 9 sách VNEN toán 5
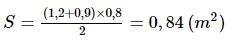
Bác Thức làm một chiếc bàn bằng gỗ, mặt bàn có dạng hình thang với độ dài hai đáy lần lượt là 1,2 m và 0,9 m, chiều cao là 0,8 m. Em hãy giúp bác Thức tính diện tích mặt bàn gỗ đó?
Đáp án
Diện tích của mặt bàn gỗ bác Thức làm là:
Đáp số: 0,84 (m2)
Câu 2 trang 9 sách VNEN toán 5
Cô Hạnh muốn tích một mảnh vườn hình thang. Em hãy giúp cô Hạnh bằng cách nói cô nghe cách tính mảnh vườn hình thang đó?
Đáp án
Em sẽ nói công thức tính cho cô Hạnh như sau:
Diện tích hình thang bằng tổng độ dài hai đáy nhân với chiều cao (cùng một đơn vị đo) rồi chia cho 2
Trên đây là Giải Toán 5 VNEN bài 59 Diện tích hình thang trang 6, 7, 8, 9. VnDoc.com hy vọng rằng tài liệu Giải Toán lớp 5 chương trình VNEN theo từng bài học trên đây sẽ giúp các em học sinh lớp 5 nắm được trọng tâm kiến thức về Diện tích hình thang hiệu quả.
>> Bài tiếp theo: Giải Toán lớp 5 VNEN bài 60: Em ôn lại những gì đã học