Giải Toán lớp 5 VNEN bài 105: Ôn tập về phép nhân, phép chia
Giải Toán lớp 5 VNEN bài 105: Ôn tập về phép nhân, phép chia là lời giải Sách VNEN toán 5 tập 2 trang 115, 116, 117 bao gồm chi tiết lời giải cho từng bài tập giúp các em học sinh củng cố, rèn kỹ năng giải Toán Chương 5 lớp 5. Mời các em học sinh tham khảo lời giải hay sau đây.
Bài 105: Ôn tập về phép nhân phép chia
- A. Hoạt động thực hành bài 105 Toán VNEN lớp 5
- Câu 1: Trang 115 toán VNEN lớp 5 tập 2
- Câu 2: Trang 115 toán VNEN lớp 5 tập 2
- Câu 3: Trang 115 toán VNEN lớp 5 tập 2
- Câu 4: Trang 115 toán VNEN lớp 5 tập 2
- Câu 5: Trang 115 toán VNEN lớp 5 tập 2
- Câu 6: Trang 116 toán VNEN lớp 5 tập 2
- Câu 7: Trang 116 toán VNEN lớp 5 tập 2
- Câu 8: Trang 116 toán VNEN lớp 5 tập 2
- Câu 9: Trang 117 toán VNEN lớp 5 tập 2
- Câu 10: Trang 117 toán VNEN lớp 5 tập 2
- B. Hoạt động ứng dụng bài 105 Toán VNEN lớp 5
A. Hoạt động thực hành bài 105 Toán VNEN lớp 5
Câu 1: Trang 115 toán VNEN lớp 5 tập 2
a) Đọc kĩ nội dung sau (sgk)
b) Lấy một ví dụ minh họa rồi giải thích cho bạn nghe
Ví dụ:
Tính chất giao hoán: a x b = b x a
· Ví dụ: 3 x 5 = 5 x 3 = 15
Tính chất kết hợp: (a x b) x c = a x (b x c)
· Ví dụ: (4 x 5) x 2 = 4 x (5 x 2) = 40
Nhân một tổng với một số: (a + b) x c = a x c + b x c
· Ví dụ: ( 4 + 6 ) x 5 = 4 x 5 + 6 x 5 = 50
Phép nhân có thừa số bằng 1: 1 x a= a x 1 = a
· Ví dụ: 1 x 10 = 10 x 1 = 10
Phép nhân có thừa số bằng 0: 0 x a = a x 0 = 0
· Ví dụ: 100 x 0 = 0 x 100 = 0
Câu 2: Trang 115 toán VNEN lớp 5 tập 2
Tính:
a. 4802 x 324
b.
\(\frac{3}{5}\times\frac{8}{9}\)
c. 26,4 x 7,8
d. 32,54 x 2,05
Hướng dẫn giải
- Muốn nhân hai số tự nhiên ta đặt tính rồi tính sao cho các chữ số ở cùng một hàng thì thẳng cột với nhau, sau đó nhân theo thứ tự từ phải sang trái.
- Muốn nhân hai phân số ta lấy tử số nhân với tử số, mẫu số nhân với mẫu số.
- Muốn nhân hai số thập phân ta đặt tính rồi nhân như nhân các số tự nhiên, sau đó đếm ×em trong phần thập phân của cả hai thừa số có bao nhiêu chữ số rồi dùng dấu phẩy tách ở tích ra bấy nhiêu chữ số kể từ phải sang trái.
Đáp án

Câu 3: Trang 115 toán VNEN lớp 5 tập 2
Tính nhẩm:
a) 4,23 x 10
4,23 x 0,1
b) 214,56 x 100
214,56 x 0,01
c) 34,7 x 100
34,7 x 0,01
Hướng dẫn cách nhẩm:
· Muốn nhân một số thập phân với 10,100,1000....ta chỉ việc chuyển dấu phẩy của số đó lần lượt sang bên phải một, hai, ba..chữ số.
· Muốn nhân một số thập phân với 0,1,; 0,01; 0,001 ......ta chỉ việc chuyển dấu phẩy của số đó lần lượt sang bên trái một, hai, ba..chữ số
Đáp án
a) 4,23 x 10= 42,3
4,23 x 0,1 = 0,423
b) 214,56 x 100 = 21456
214,56 x 0,01= 2,1456
c) 34,7 x 100 = 3470
34,7 x 0,01= 0,347
Câu 4: Trang 115 toán VNEN lớp 5 tập 2
Tính bằng cách thuận tiện nhất
a. 2,5 x 9,3 x 4
b. 0,5 x 3,8 x 2
c. 7,61 x 5 x 0,2
d. 5,3 x 6,7 + 6,7 x 4,7
Hướng dẫn giải:
Áp dụng các tính chất của phép nhân như :
Tính chất giao hoán: a × b = b × a
Tính chất kết hợp:
(a × b) × c = a × (b × c)
Nhân một tổng với một số:
(a + b) × c = a × c + b × c.
Đáp án
a. 2,5 x 9,3 x 4
= (2,5 x 4) x 9,3
= 10 x 9,3 = 93
b. 0,5 x 3,8 x 2
= (0,5 x 2) x 3,8
= 1 x 3,8 = 3,8
c. 7,61 x 5 x 0,2
= 7,61 x (5 x 0,2)
= 7,61 x 1 = 7,61
d. 5,3 x 6,7 + 6,7 x 4,7
= (5,3 + 4,7) x 6,7
= 10 x 6,7 = 67
Câu 5: Trang 115 toán VNEN lớp 5 tập 2
Một ô tô và xe máy khởi hành cùng một lúc và đi ngược chiều nhau. Ô tô đi từ A với vận tôc 48,5 km/giờ, xe máy đi từ B với vận tốc 33,5 km/giờ. Sau 1 giờ 30 phút ô tô và xe máy gặp nhau tại C. Hỏi quãng đường AB dài bao nhiêu ki-lô-mét?
Hướng dẫn giải
- Đổi : 1 giờ 30 phút = 1,5 giờ.
- Tính quãng đường ô tô đi từ A đi được trong 1,5 giờ ta lấy vận tốc nhân với thời gian.
- Tính quãng đường xe máy đi từ B đi được trong 1,5 giờ ta lấy vận tốc nhân với thời gian.
- Vì hai xe khởi hành cùng lúc và đi ngược chiều nhau nên để tính quãng đường AB ta lấy quãng đường ô tô đi từ A đi được trong 1,5 giờ cộng với quãng đường xe máy đi từ B đi được trong 1,5 giờ.
Đáp án
Đổi: 1 giờ 30 phút = 1,5 giờ
1 giờ 30 phút xe máy đi được số km là:
33,5 x 1,5 = 50,25 (km)
1 giờ 30 phút xe ô tô đi được số km là:
48,5 x 1,5 = 72,75 (km)
Vậy đoạn đường AB dài số km là:
50,25 + 72,75 = 123 (km)
Đáp số: 123 km
Câu 6: Trang 116 toán VNEN lớp 5 tập 2
a) Đọc kĩ nội dung SGK
b) Lấy ví dụ minh họa rồi giải thích cho bạn nghe.
Đáp án
b) Ví dụ :
• 99 : 1 = 99 (Vì số nào chia cho 1 cũng bằng chính số đó).
• 2019 : 2019 = 1 (Vì số nào chia cho chính số đó cũng bằng 1).
• 0 : 1234 = 0 (Vì 0 chia cho số bất kì (khác 0) thì đều bằng 0).
Câu 7: Trang 116 toán VNEN lớp 5 tập 2
Tính rồi thử lại theo mẫu:
a. 3675 : 35
20219 : 37
b. 81,92 : 32
97,65 : 21,7 (thương là số thập phân)
Đáp án

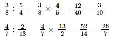
Câu 8: Trang 116 toán VNEN lớp 5 tập 2
Tính:
![]()
Hướng dẫn giải:
Để chia hai phân số ta lấy phân số thứ nhất nhân với phân số thứ hai đảo ngược.
Đáp án

Câu 9: Trang 117 toán VNEN lớp 5 tập 2
Tính nhẩm:
25 : 0,1
42 : 0,01
72 : 0,1
25 x 10
42 x 100
83 : 0,01
13 : 0,25
42 : 0,5
75 : 0,5
13 x 4
42 x 2
125 : 0,25
Hướng dẫn giải:
- Muốn chia một số tự nhiên cho 0,1,; 0,01; 0,001; ... ta chỉ việc thêm vào bên phải số đó một, hai, ba, ... chữ số 0.
- Muốn nhân một số tự nhiên với 10; 100; 1000; ... ta chỉ việc thêm vào bên phải số đó một, hai, ba, ... chữ số 0.
- Muốn chia một số cho 0,25 ta chỉ việc nhân số đó với 4.
- Muốn chia một số cho 0,5 ta chỉ việc nhân số đó với 2.
Đáp án
25 : 0,1= 250
42 : 0,01= 4200
72 : 0,1= 720
25 x 10= 250
42 x 100 = 4200
83 : 0,01 = 8300
13 : 0,25 = 52
42 : 0,5 = 84
75 : 0,5 = 150
13 x 4 = 52
42 x 2 = 84
125 : 0,25 = 500
Câu 10: Trang 117 toán VNEN lớp 5 tập 2
Cuối năm 2013, số dân của nước ta là 90 000 000 người. Nếu tỉ lệ tăng dân số hằng năm là 1,2% thì hết năm 2014 số dân của nước ta là bao nhiêu người?
Hướng dẫn giải
- Tính số người tăng thêm ta lấy số dân cuối năm 2013 chia cho 100 rồi nhân với 1,2.
- Số dân cuối năm 2014 = số dân cuối năm 2013 + số người tăng thêm.
Đáp án
Nếu tỉ lệ gia tăng là 1,2% thì mỗi năm nước ta tăng thêm số dân là:
(90 000 000 : 100) x 1,2 = 1 080 000 (người)
Vậy dân số nước ta đến hết năm 2014 là:
90 000 000 + 1 080 000 = 91 080 000 (người)
Đáp số: 91 080 000 người
B. Hoạt động ứng dụng bài 105 Toán VNEN lớp 5
Câu 1: Trang 117 toán VNEN lớp 5 tập 2
Một thuyền máy đi xuôi dòng từ A đến B. Vận tốc của thuyền máy khi nước nặng là 22,6 km/giờ và vận tốc dòng nước là 2,2 km/giờ. Sau 1 giờ 15 phút thì thuyền máy đến bến. Tính độ dài quãng sông AB.
Hướng dẫn giải
- Tính vận tốc của thuyền khi đi xuôi dòng nước ta lấy vận tốc của thuyền khi nước lặng cộng với vận tốc dòng nước.
- Tính độ dài quãng sông AB ta lấy vận tốc của thuyền khi đi xuôi dòng nước nhân với thời gian khi đi xuôi dòng từ A đến B.
Đáp án
Đổi: 1 giờ 15 phút = 1,25 giờ
Vận tốc của thuyền máy khi xuôi dòng là:
22,6 + 2,2 = 24,8 (km/giờ)
Độ dài của quãng sông là:
24,8 x 1,25 = 31 (km)
Đáp số: 31 km
Câu 2: Trang 117 toán VNEN lớp 5 tập 2
Em tìm trong thực tế những tình huống phải sử dụng phép nhân hoặc phép chia rồi viết vào vở.
Hướng dẫn giải
Em quan sát thực tế cuộc sống xung quanh rồi ghi các tình huống phải sử dụng phép nhân hoặc phép chia vào vở.
Đáp án
Ví dụ mẫu:
· Một ngày em được mẹ cho 10.000 ăn sáng. Tính số tiền ăn sáng mẹ cho 1 tuần
· Mua 1 cuốn vở 3 500 đồng. Mua 10 cuốn vở hết bao nhiêu tiền
· Mẹ có 15 cái kẹo, mẹ bảo chia đều cho 3 chị em, hỏi mỗi người được bao nhiêu cái kẹo.
· Trong nhà còn 2kg gạo, mẹ bảo lấy đi một nửa cắm cơm, vậy một nửa đó là bao nhiêu kg gạo.
· Mẹ bảo ra chợ mua 3 lạng thịt, mỗi lạng có giá 10 nghìn. Vậy phải trả tất cả bao nhiêu tiền thịt....
>> Bài tiếp theo: Giải Toán lớp 5 VNEN bài 106: Em ôn lại những gì đã học