Toán lớp 5 VNEN bài 8: Em ôn lại những gì đã học
Giải Toán lớp 5 VNEN bài 8: Em ôn lại những gì đã học - Sách VNEN toán 5 tập 1 bao gồm chi tiết lời giải cho từng bài tập giúp các em học sinh củng cố, rèn kỹ năng giải Toán về phân số. Mời các em học sinh tham khảo lời giải hay sau đây.
Toán lớp 5 VNEN bài 8 Em ôn lại những gì đã học
A. Hoạt động thực hành - Em ôn lại những gì đã học Toán lớp 5
Câu 1: Trang 22 VNEN toán 5 tập 1
Tính:

Phương pháp giải
a) - Muốn cộng (hoặc trừ) hai phân số khác mẫu số ta quy đồng mẫu số rồi cộng (hoặc trừ) các phân số sau khi quy đồng.
- Muốn nhân hai phân số ta lấy tử số nhân với tử số, mẫu số nhân với mẫu số.
- Muốn chia hai phân số ta lấy phân số thứ nhất nhân với phân số thứ hai đảo ngược.
b) - Đổi các hỗn số thành phân số, sau đó thực hiện các phép tính cộng, trừ, nhân, chia hai phân số như thông thường.
- Biểu thức chỉ có phép cộng và phép trừ ta thực hiện lần lượt từ trái sang phải.
Đáp án

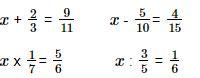
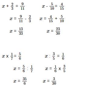
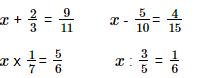
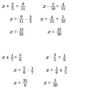
Câu 2: Trang 22 VNEN toán 5 tập 1
Tìm x:

Đáp án

Câu 3: Trang 22 VNEN toán 5 tập 1
Viết (theo mẫu):
a. 23m 18cm; 9m 5cm
b. 7kg 167g; 34kg 50g; 1kg 5g
Đáp án

Câu 4: Trang 23 VNEN toán 5 tập 1
Biết 25 quãng đường AB dài 36km. Hỏi quãng đường AB dài bao nhiêu km?
Đáp án
Quãng đường AB dài số km là:
36 : 2/5 = 90 (m)
Đáp số: 90m
Câu 5: Trang 23 VNEN toán 5 tâp 1
Một mảnh đất hình chữ nhật có kích thước như hình vẽ bên (h12)
Sau khi đào ao và làm nhà thì diện tích phần đất còn lại là:
A. 180m2
B. 1400m2
C. 1800m2
D. 2000m2
Đáp án
Quan sát hình vẽ ta thấy:
Phần diện tích ngôi nhà là: 200m2
Phần diên tích ao là: 400m2
Diện tích toàn bộ mảnh đất hình chữ nhật là: 40 x 50 = 2000 (m2)
Vậy diện tích còn lại của mảnh đất hình chữ nhật là:
2000 – (400 + 200) = 1400 (m2)
Vậy đáp án đúng là: B. 1400 (m2)
B. Hoạt động ứng dụng - Em ôn lại những gì đã học Toán lớp 5
Quan sát sự tăng trưởng của một cây trong hình vẽ dưới đây:

a. Ghi chép lại sự tăng trưởng của cây theo từng tuần
b. Trả lời câu hỏi:
· Sau 3 tuần cây tăng trưởng được bao nhiêu xăng-ti-mét?
· Tuần nào cây tăng trưởng nhanh nhất?
Đáp án
Sau 3 tuần cây tăng trưởng được số cm là:
![]()
Cây tăng trưởng nhanh nhất vào tuần thứ 2 là
\(\frac{90}{96}\) hay
\(\frac{5}{6}\)
...............
Tài liệu Toán lớp 5 VNEN bài 8: Em ôn lại những gì đã học hướng dẫn giải chi tiết bài 1, 2, 3, 4, 5 trong SGK, các em gặp vướng mắc chỗ nào, có thể tham khảo hoặc so sánh để đối chiếu kết quả bài làm.
Ngoài giải bài tập Toán 5 VNEN, VnDoc còn giúp các bạn giải toán lớp 5 sách giáo khoa. Mời các bạn xem thêm bài: Giải bài tập trang 15, 16 SGK Toán 5: Luyện tập chung 2 (tiết 13).
>> Bài tiếp theo: Giải Toán lớp 5 VNEN bài 9: Ôn tập về giải toán