Toán lớp 5 VNEN bài 15: Mi - li - mét vuông. Bảng đơn vị đo diện tích
Giải SGK Toán lớp 5 VNEN: Mi - li - mét vuông. Bảng đơn vị đo diện tích - Sách VNEN toán 5 tập 1 trang 45 bao gồm chi tiết lời giải cho từng bài tập giúp các em học sinh củng cố, rèn kỹ năng giải Toán bảng đo đơn vị diện tích.
Toán lớp 5 VNEN bài 15 Mi - li - mét vuông. Bảng đơn vị đo diện tích trang 40 - 45
A. Hoạt động cơ bản Mi - li - mét vuông. Bảng đơn vị đo diện tích lớp 5
Câu 1: Trang 40 Toán 5 VNEN Tập 1
Đúng ghi Đ, sai ghi S:
Trả lời:
|
1hm2 = 100dam2 |
Đ |
80dam2 = 8hm2 |
S |
|
1dam25m2 = 15m2 |
S |
1hm2 = 10000m2 |
Đ |
|
1002m2 = |
Đ |
108dam2 = |
Đ |
Câu 2. Trang 41 Toán 5 VNEN Tập 1
Em đọc kĩ: sgk
Câu 3: Trang 41 Toán 5 VNEN Tập 1
Đọc kĩ nội dung sau và nghe thầy/ cô giáo hướng dẫn (sgk)
Câu 4 Trang 41 Toán 5 VNEN Tập 1
Đọc, viết các số đo diện tích:
Đọc các số đo diện tích: 18mm2; 603mm2; 1400mm2
Viết các số đo diện tích:
- Một trăm tám mươi lăm mi-li-mét vuông
- Hai nghìn ba trăm mười mi -li-mét vuông
Trả lời:
- 18mm2: Mười tám mi-li-mét vuông
- 603mm2: Sáu trăm linh ba mi-li-mét vuông
- 1400mm2: Một nghìn bốn trăm mi-li-mét vuông
Viết số đo diện tích:
- Một trăm tám mươi lăm mi-li-mét vuông: 180mm2
- Hai nghìn ba trăm mười mi -li-mét vuông: 2310mm2
B. Hoạt động thực hành Mi - li - mét vuông. Bảng đơn vị đo diện tích Toán lớp 5
Câu 1: Trang 42 VNEN toán 5 tập 1
Viết số thích hợp vào chỗ chấm:
7cm2 = ... mm2
2m2 = ... cm2
15km2 = ... hm2
12hm2 = ... m2
15m28dm2 = ... dm2
3dam2 22m2= ... m2
Phương pháp giải:
Áp dụng bảng đơn vị đo diện tích và mối quan hệ giữa các đơn vị đo liền nhau.
Đáp án
7cm2 = 700 mm2
2m2 = 20000 cm2
15km2 = 1500 hm2
12hm2 = 120000 m2
15m28dm2 = 1508 dm2
3dam2 22m2= 322 m2
Câu 2: Trang 42 VNEN toán 5 tập 1
Viết số thích hợp vào chỗ chấm:
800mm2 = ... cm2
2600dm2= ... m2
80 000m2= ... hm2
1000hm2= km2
150cm2= ... dm2 ... cm2
201m2 = ... dam2 ... m2
Phương pháp giải:
Áp dụng bảng đơn vị đo diện tích và mối quan hệ giữa các đơn vị đo liền nhau.
Đáp án
800mm2 = 8 cm2
2600dm2= 26 m2
80 000m2= 8 hm2
1000hm2= 10 km2
150cm2= 1 dm2 50 cm2
201m2 = 2 dam2 1 m2
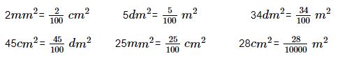
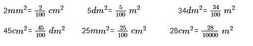
Câu 3: Trang 42 VNEN toán 5 tập 1
Viết phân số thích hợp vào chỗ chấm:
2mm2= ... cm2
5dm2= ... m2
34dm2= ... m2
45cm2= ... dm2
25mm2= ... cm2
28cm2= ... m2
Phương pháp giải:
Áp dụng cách chuyển đổi :
1mm2 =
\(\frac{1}{100}\)cm2 ; 1cm2 =
\(\frac{1}{100}\)dm2 ;
1dm2 =
\(\frac{1}{100}\)m2 ; 1cm2 =
\(\frac{1}{10000}\)m2.
Đáp án

Câu 4: Trang 42 VNEN toán 5 tập 1
a. Viết các số đo sau dưới dạng số đo có đơn vị là đề-xi-mét vuông: 8m236dm2; 19m28dm2
b. Viết các số đo sau dưới dạng số đo đơn vị là xăng-ti-mét vuông: 4dm245cm2; 14dm285cm2; 105dm26cm2.
Phương pháp giải:
Áp dụng các cách chuyển đổi :
1m2 = 100dm2 hay 1dm2 =
\(\frac{1}{100}\)m2 ;
1dm2 = 100cm2 hay 1cm2 =
\(\frac{1}{100}\)dm2.
Đáp án
a. Viết các số đo sau dưới dạng số đo có đơn vị là đề-xi-mét vuông:
8m236dm2 = 836dm2; 19m28dm2 = 1908dm2
b. Viết các số đo sau dưới dạng số đo đơn vị là xăng-ti-mét vuông:
4dm245cm2 = 445cm2; 14dm2cm2 = 1485cm2;
105dm26cm2 = 10506cm2
Câu 5: Trang 42 VNEN toán 5 tập 1
Điền dấu < = > :
2dm28cm2 ... 208cm2
4m248dm2 ... 5m2
400mm2 ... 398 cm2
61km2 ... 610hm2
Phương pháp giải:
Đổi các số đo về cùng đơn vị đo rồi so sánh kết quả với nhau.
Đáp án
2dm28cm2 ... 208cm2 4m248dm2 ... 5m2
=> 208cm2 = 208cm2 => 448dm2 < 500dm2
400mm2 ... 398 cm2 61km2 ... 610hm2
=> 400mm2 < 39800 cm2 => 6100hm2 > 610hm2
C. Hoạt động ứng dụng
Câu 1: Trang 42 VNEN toán 5 tập 1
Trước kia ở vùng đồng bằng Bắc Bộ người ta sử dụng đơn vị đo diện tích ruộng đất là mẫu, sào, thước. Mỗi mẫu bằng 3600m2, một mẫu bằng 10 sào, một sào bằng 15 thước. Em hãy tính xem một sào bằng bao nhiêu mét vuông, một thước bằng bao nhiêu mét vuông?
Phương pháp giải:
- Số mét vuông của một sào = số mét vuông của một mẫu : 10.
- Số mét vuông của một thước = số mét vuông của một sào : 15.
Đáp án
Một sào có số mét vuông là: 3600 : 10 = 360 (m2)
Một thước bằng số mét vuông là: 360 : 15 = 24 (m2)
Đáp số: 1 sào 360 m2
1 thước 24 m2
Câu 2: Trang 42 VNEN toán 5 tập 1
Ở các tỉnh phía Nam còn sử dụng đơn vị đo diện tích ruộng đất là công. Một công đất có diện tích bằng 1000m2. Em hãy tính xem 10000m2 bằng nhiều công đất.
Phương pháp giải:
Để tính 10 000m2 bằng nhiều công đất ta lấy 10 000m2 chia cho diện tích của một công đất.
Đáp án
10000m2 bằng số đất công là:
10000 : 1000 = 10 (công)
Đáp số: 10 công
D. Lý thuyết Mi-li-mét vuông - Bảng đơn vị đo diện tích
Mi-li-mét vuông Toán lớp 5
Mi-li-mét vuông là diện tích của hình vuông có cạnh dài 1mm.
Mi-li-mét vuông được viết tắt là mm2.
Hình vuông 1cm2 gồm 100 hình vuông 1mm2.
1cm2 = 100mm2
1mm2 = 1/100cm2
Bảng đơn vị đo diện tích lớp 5

Nhận xét: Trong bảng đơn vị đo diện tích, hai đơn vị đo liền nhau hơn (kém) nhau 100 lần, tức là:
- Đơn vị lớn gấp 100 lần đơn vị bé.
- Đơn vị bé bằng 1/100 đơn vị lớn.
>> Xem thêm: Lý thuyết Mi-li-mét vuông - Bảng đơn vị đo diện tích
Trên đây là Giải SGK Toán 5 VNEN bài 14 Mi - li - mét vuông. Bảng đơn vị đo diện tích. VnDoc.com hy vọng rằng tài liệu Giải SGK Toán lớp 5 VNEN giúp các em học sinh chuẩn bị bài tập hiệu quả.
>> Bài tiếp theo: Giải Toán lớp 5 VNEN bài 16: Héc-ta