Toán lớp 5 VNEN bài 7: Em ôn lại những gì đã học
Giải Toán lớp 5 VNEN bài 7: Em ôn lại những gì đã học - Sách VNEN toán 5 tập 1 bao gồm chi tiết lời giải cho từng bài tập giúp các em học sinh củng cố, rèn kỹ năng giải Toán về phân số. Mời các em học sinh tham khảo lời giải hay sau đây.
Toán lớp 5 VNEN bài 7: Em ôn lại những gì đã học
A. Hoạt động thực hành Em ôn lại những gì đã học Toán lớp 5
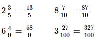
Toán lớp 5 VNEN bài 7 trang 20 tập 1 câu 1
Chuyển các phân số sau thành phân số thập phân:
![]()
Phương pháp giải
Nhân (hoặc chia) cả tử và mẫu số của một phân số với cùng một số tự nhiên khác 00 để được phân số có mẫu số là 10;100;10;100; 1000;...1000;... .
Đáp án

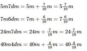
Toán lớp 5 VNEN bài 7 trang 20 tập 1 câu 2
Chuyển các hỗn số sau thành phân số:
![]()
Phương pháp giải
- Có thể viết hỗn số thành một phân số có:
• Tử số bằng phần nguyên nhân với mẫu số rồi cộng với tử số ở phần phân số.
• Mẫu số bằng mẫu số ở phần phân số.
Đáp án

Toán lớp 5 VNEN bài 7 trang 21 tập 1 câu 3
Viết phân số thích hợp vào chỗ chấm:
1dm =…. m
1g = …... kg
1 phút = ….. giờ
2dm = …. m
5g = …… kg
10 phút = ….. giờ
Phương pháp giải
Dựa vào bảng đơn vị đo độ dài, khối lượng hoặc đơn vị đo thời gian đã học để chuyển đổi các đơn vị đo.
Đáp án

Toán lớp 5 VNEN bài 7 trang 21 tập 1 câu 4
Viết các số đo độ dài (theo mẫu):
5m7dm; 7m6dm; 24m7dm; 40m4dm.
Đáp án

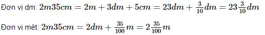
Toán lớp 5 VNEN bài 7 trang 21 tập 1 câu 5
Một sợi dây dài 2m35cm. Hãy viết số đo độ dài của sợi dây dưới dạng số đo có đơn vị là: xăng -ti-met, đề-xi-mét, mét.
Đáp án
Đơn vị cm: 2m35cm = 200cm + 35cm = 235cm

B. Hoạt động ứng dụng - Em ôn lại những gì đã học Toán lớp 5
1. Đọc một số tình huống sử dụng phân số, hỗn số nêu trong các tranh vẽ dưới đây
Đáp án
+) Bác Nam cưa miếng gỗ dài khoảng một phần ba mét.
+) Mẹ trộn hai và ba phần tư chén bột với ba quả trứng, một phần hai thìa muối, ...
2. Tìm ba tình huống sử dụng phân số, hỗn số trong cuộc sống rồi viết vào vở.
Đáp án
- Mẹ ngâm nước chanh đào theo công thức: 1/2 kg chanh đào, 1/4 kg đường phèn và 1/4 lít mật ong.
- Mỗi bữa cơm bố thường uống 1/2 ly rượu để ăn ngon miệng hơn.
- Một quả chanh pha được
\(2\frac{1}{2}\)cốc nước chanh muối.
................
>> Bài tiếp theo: Giải Toán lớp 5 bài 8 sách VNEN
Ngoài giải bài tập Toán 5 VNEN, VnDoc còn giúp các bạn giải toán lớp 5 sách giáo khoa. Mời các bạn xem thêm bài: Giải bài tập trang 15 SGK Toán 5: Luyện tập chung 1.