Toán lớp 5 VNEN bài 25: Em ôn lại những gì đã học
Giải Toán lớp 5 VNEN bài 25: Em ôn lại những gì đã học Sách VNEN toán 5 tập 1 trang 68 bao gồm chi tiết lời giải cho từng bài tập giúp các em học sinh lớp 5 củng cố, rèn kỹ năng giải Toán Chương 2 lớp 5 hiệu quả.
Giải Toán lớp 5 VNEN bài 25: Em ôn lại những gì đã học trang 68
Câu 1: Trang 68 VNEN toán lớp 5 tập 1
Đọc các số thập phân sau:
a. 6,1
34,215
703,05
0,234
b. 52,3
8,007
92,409
0,060
Phương pháp giải:
Muốn đọc một số thập phân, ta đọc lần lượt từ hàng cao đến hàng thấp : trước hết đọc phần nguyên, đọc dấu "phẩy", sau đó đọc phần thập phân.
Đáp án và hướng dẫn giải
|
6,1 |
Sáu phẩy một |
52,3 |
Năm mươi hai phẩy ba |
|
34,215 |
Ba mươi tư phẩy hai trăm mười lăm |
8,007 |
Tám phẩy không trăm linh bảy |
|
703,05 |
Bảy trăm linh ba phẩy không năm |
92,409 |
Chín mươi hai phẩy bốn trăm linh chín. |
|
0,234 |
Không phẩy hai trăm ba mươi tư |
0,060 |
Không phẩy không trăm sáu mươi. |
Câu 2: Trang 68 VNEN toán lớp 5 tập 1
Viết số thập phân có:
a. Bốn đơn vị, chín phần mười
b. Hai mươi sáu đơn vị, năm phần mười, sáu phần trăm
c. Không đơn vị, ba phần trăm
d. Không đơn vị, sáu trăm hai mươi mốt phần nghìn.
Phương pháp giải:
Muốn viết một số thập phân, ta viết lần lượt từ hàng cao đến hàng thấp : trước hết viết phần nguyên, viết dấu "phẩy", sau đó viết phần thập phân.
Đáp án và hướng dẫn giải
a. Bốn đơn vị, chín phần mười => 4,9
b. Hai mươi sáu đơn vị, năm phần mười, sáu phần trăm=> 26,56
c. Không đơn vị, ba phần trăm => 0,03
d. Không đơn vị, sáu trăm hai mươi mốt phần nghìn => 0,621
Câu 3: Trang 68 VNEN toán lớp 5 tập 1
Viết các số sau theo thứ tự từ lớn đến bé
28,679
37,746
28,769
37,764
Phương pháp giải:
- So sánh các số theo quy tắc :
+ So sánh các phần nguyên của hai số đó như so sánh hai số tự nhiên, số thập phân nào có phần nguyên lớn hơn thì số đó lớn hơn.
+ Nếu phần nguyên của hai số đó bằng nhau,thì ta so sánh phần thập phân, lần lượt từ hàng phần mười, hàng phần trăm, hàng phần nghìn ... đến cùng một hàng nào đó, số thập phân nào có chữ số ở hàng tương ứng lớn hơn thì số đó lớn hơn.
+ Nếu phần nguyên và phần thập phân của hai số đó bằng nhau thì hai số đó bằng nhau.
Sau đó sắp xếp các số theo thứ tự từ lớn đến bé.
Đáp án và hướng dẫn giải
Ta sắp xếp từ lớn đến bé như sau:
37,764 -> 37,746 ->28,769 -> 28,679
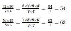
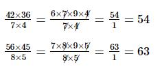
Câu 4: Trang 68 VNEN toán lớp 5 tập 1
Tính bằng cách thuận tiện nhất:

Phương pháp giải:
Phân tích tử số và mẫu số thành tích của các thừa số rồi chia cả tử số và mẫu số cho các thừa số chung.
Đáp án và hướng dẫn giải

Bộ đề thi giữa học kì 1 lớp 5 năm 2023 Tải nhiều
- 71 đề thi giữa kì 1 Toán 5 năm 2023 - 2024 Tải nhiều
- Bộ đề thi giữa học kì 1 lớp 5 năm 2023 - 2024 Có đáp án
- Bộ đề thi giữa học kì 1 môn Tiếng Việt lớp 5 năm 2023 - 2024
- Bộ 11 đề thi giữa kì 1 lớp 5 môn tiếng Anh năm 2023 - 2024
- Bộ đề thi giữa học kì 1 lớp 5 đầy đủ các môn năm 2023-2024
Trên đây là Giải bài tập sách Giáo khoa Toán 5 VNEN bài 25 Em ôn lại những gì đã học trang 68. VnDoc.com hy vọng rằng tài liệu Giải bài tập Toán lớp 5 theo chương trình VNEN trên đây sẽ giúp các em học sinh ôn tập kiến thức hiệu quả.