Toán lớp 5 VNEN bài 56: Diện tích Hình tam giác
Giải Toán lớp 5 VNEN bài 56: Diện tích Hình tam giác - Sách VNEN toán 5 tập 1 trang 144 bao gồm chi tiết lời giải cho từng bài tập giúp các em học sinh củng cố, rèn kỹ năng giải Toán Chương 3 lớp 5, ôn tập chuẩn bị cho bài thi cuối học kì 1. Mời các em học sinh tham khảo lời giải hay sau đây.
Toán 5 VNEN Bài 56: Diện tích Hình tam giác
A. Hoạt động cơ bản bài 56 Toán VNEN lớp 5
Quy tắc tính diện tích hình tam giác:
Muốn tính diện tích hình tam giác ta lấy độ dài đáy nhân với chiều cao (cùng đơn vị đo) rồi chia cho 2.
![]()
Trong đó:
· S là diện tích
· a là độ dài đáy
· h là chiều cao
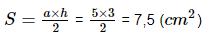
Ví dụ: Tính diện tích hình tam giác có kích thước như hình vẽ:

Đáp án và hướng dẫn giải
Diện tích hình tam giác ABC là:
![]()
Đáp số: 15cm2
B. Hoạt động thực hành bài 56 Toán VNEN lớp 5
Câu 1: Trang 145 sách VNEN toán 5 tập 1
Tính diện tích hình tam giác có:
a. Độ dài đáy là 9cm và chiều cao tương ứng là 4cm.
b. Độ dài đáy là 2,5dm và chiều cao tương ứng là 1,6dm
c. Độ dài đáy là 6m và chiều cao tương ứng là 25dm
d. Độ dài đáy là 82,5m và chiều cao tương ứng là 7,2m
Phương pháp giải:
Áp dụng quy tắc tính diện tích hình tam giác : SΔ=
\(\frac{a\times h}{2}\) ( a là độ dài cạnh đáy; h là độ dài chiều cao tương ứng).
Đáp án và hướng dẫn giải

Câu 2: Trang 145 sách VNEN toán 5 tập 1
Hãy chỉ ra đáy và đường cao tương ứng trong mỗi hình tam giác vuông sau:

Phương pháp giải:
Quan sát hình ảnh, xác định đáy và đường cao tương ứng.
Đáp án và hướng dẫn giải
· Tam giác ABC có cạnh đáy là BC và đường cao AH
· Tam giác DGE có cạnh đáy là EG và đường cao DE
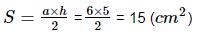
Câu 3: Trang 145 sách VNEN toán 5 tập 1
a.Tính diện tích hình tam giác vuông ABC
b. Tính diện tích tam giác vuông DEG

Phương pháp giải:
Vận dụng quy tắc tính diện tích hình tam giác :
- Xác định cạnh đáy và đường cao tương ứng của mỗi hình.
Lấy độ dài cạnh đáy nhân với chiều cao tương ứng (cùng đơn vị đo) rồi chia cho 2.
Đáp án và hướng dẫn giải
a. Diện tích hình tam giác vuông ABC là:
![]()
b. Tính diện tích tam giác vuông DEG

C. Hoạt động ứng dụng bài 56 Toán lớp 5 VNEN
Câu 1: Trang 146 sách VNEN toán 5 tập 1
Cho biết diện tích của thửa ruộng hình chữ nhật ABCD là 1200m2 (Xem hình vẽ). Tính diện tích của mảnh ruộng hình tam giác DCE.

Phương pháp giải:
- Tìm chiều dài của hình chữ nhật ( chính bằng cạnh đáy của hình tam giác DCE).
- Diện tích tam giác DCE bằng độ dài cạnh đáy vừa tìm được nhân với chiều cao tương ứng.
Đáp án và hướng dẫn giải
Chiều dài của mảnh ruộng hình chữ nhật ABCD là:
1200 : (20 + 10) = 40 (cm)
Ta có: tam giác EDC có đường cao EC và cạnh đáy CD
Vậy diện tích của mảnh ruộng hình tam giác DCE là:
![]()
Đáp số: 400 cm2
Câu 2: Trang 146 sách VNEN toán 5 tập 1
Quan sát các hình vẽ dưới đây, biết AM=MN=NB, em hãy nhận xét về diện tích các hình tam giác ADC, MDC, NCD và BDC

Hãy chỉ ra các hình tam giác có diện tích bằng nhau ở trong hình vẽ trên.
Phương pháp giải:
- Dựa vào kiến thức về diện tích hình tam giác vừa học, nhận xét về diện tích các hình.
- Quan sát hình ảnh và đọc dữ kiện trong bài toán, tìm các tam giác có độ dài đáy và chiều cao tương ứng bằng nhau.
Đáp án và hướng dẫn giải
Quan sát ta thấy diện tích hình tam giác ADC= BDC và diện tích hình tam giác MDC = NDC
D. Bài tập Diện tích hình tam giác
Tài liệu Toán 5 về Công thức tính Diện tích hình tam giác bao gồm nhiều tài liệu Lý thuyết & Bài tập Toán lớp 5 khác nhau giúp các em học sinh ôn tập kiến thức hiệu quả.
Xem chi tiết tại:
- Bài tập về hình tam giác lớp 5
- Bài tập Toán lớp 5: Diện tích hình tam giác
- Bài tập Toán lớp 5: Luyện tập diện tích hình tam giác, hình thang
- Giải bài tập SGK Toán 5: Diện tích hình tam giác
- Vở bài tập Toán lớp 5 bài 87 Luyện tập Diện tích hình tam giác
- Bài tập tính diện tích hình tam giác lớp 5 nâng cao có đáp án
- Chuyên đề bồi dưỡng học sinh giỏi môn Toán lớp 5: Diện tích hình tam giác
- Công thức tính diện tích hình tam giác, chu vi hình tam giác
Trên đây là Giải Toán 5 VNEN bài 56 Diện tích Hình tam giác trang 144, 145, 146. VnDoc.com hy vọng rằng tài liệu Giải Toán lớp 5 chương trình VNEN theo từng bài học trên đây sẽ giúp các em học sinh lớp 5 nắm chắc kiến thức về Công thức cách tính Diện tích Hình tam giác hiệu quả.
>> Bài tiếp theo: Giải Toán lớp 5 VNEN bài 57: Em đã học được những gì